Eletrostática

Description

Algumas fórmulas de eletrostática para mémorizar
andreza mendes
Flashcards by andreza mendes, updated more than 1 year ago
andreza mendes
Created by andreza mendes over 9 years ago
34
1

Resource summary

Question Answer
Potencial elétrico
Energia potencial elétrica
relação entre E.p.e. e P.e.
trabalho da força elétrica
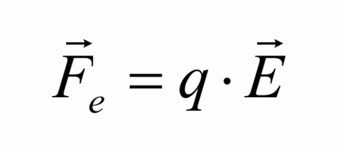
Força elétrica
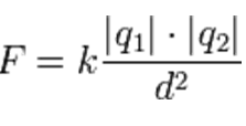
Lei de COULOMB
carga elétrica pelo nº de eletrons Q = n . e
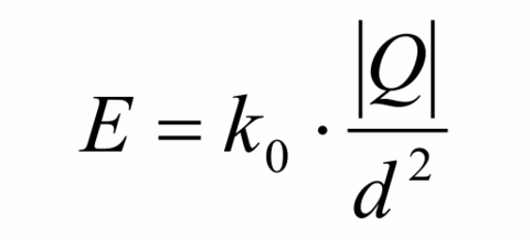
campo eletrico
valor da constante K no vácuo
corrente elétrica e seu sentido convencional A corrente tem sentido convencional do polo (+) para o polo (-).
Show full summary Hide full summary

Similar

Oscilações, ondas, óptica e radiação
Sem Parar
Cinemática Escalar: Conceitos fundamentais
Bruno Fernandes3682
Fórmulas de física
Alessandra S.
Física moderna
GoConqr suporte .
Plano de estudos ENEM - Parte 2 *Exatas/Biológicas
GoConqr suporte .
ÁTOMO
Hugo Fonseca
Simulado de física
Alessandra S.
Ondulatória
Leatrice Barros
Simulado ENEM - Ciências da Natureza
Nathalia - GoConqr
Física - Sobre Ondas
Helen Manzur
Queda livre
ana_santos_1_