null
US
Sign In
Sign Up for Free
Sign Up
We have detected that Javascript is not enabled in your browser. The dynamic nature of our site means that Javascript must be enabled to function properly. Please read our
terms and conditions
for more information.
Next up
Copy and Edit
You need to log in to complete this action!
Register for Free
1044116
LA ELIPSE
Description
Mind Map on LA ELIPSE, created by ponchogodoy on 30/06/2014.
Mind Map by
ponchogodoy
, updated more than 1 year ago
More
Less
Created by
ponchogodoy
over 11 years ago
42
0
0
Resource summary
LA ELIPSE
ES UN LUGAR GEOMETRICO DE LOS PUNTOS DEL PLANO
ELEMENTOS DE LA ELIPSE
LOS FOCOS
EJE FOCAL
EL CENTRO
EJE NORMAL
VERTICES
EJE MAYOR
EJE MENOR
LADO RECTO
ECUACION CANONICA DE LA ELIPSE CON CENTRO (0,0)
EJE X
El eje mayor coincide con el eje "X" y el centro (0,0) x² / a² + y² / b² = 1
EJE Y
El eje mayor coincide con el eje "Y" y el centro (0,0) x² / b² + y² / a² = 1
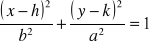
ECUACION CANONICA DE LA ELIPSE CON CENTRO (h,k)
EJE X
EJE Y
GODOY SANDOVAL, JOSE MANUEL 6TO. "B" CLAVE:34
Media attachments
EJE_X (image/png)
EJE_Y (image/png)
ELIPSE (image/jpg)
Show full summary
Hide full summary
Want to create your own
Mind Maps
for
free
with GoConqr?
Learn more
.
Similar
ELIPSE
emanuel nzunza
Browse Library