Electrotecnia 2

Description

Mind Map on Electrotecnia 2, created by Felipe Soto on 18/08/2014.
Felipe Soto
Mind Map by Felipe Soto, updated more than 1 year ago
Felipe Soto
Created by Felipe Soto over 11 years ago
18
0

Resource summary

Electrotecnia 2
  1. Circuitos polifásicos
    1. Se tienen corrientes monofásicas, bifásicas y trifásicas. Cada una es de misma amplitud y frecuencia pero desfasada por una fracción de fase
      1. Cada corriente se transporta por conductores diferentes a la misma carga
        1. El sistema monofásico es el que vimos anteriormente con una corriente o fase
        2. 1. Circuitos trifásicos
          1. Tres terminales mas el neutro
            1. Entre dos terminales hay tensiones sinusoidales de igual amplitud, pero desfasadas 120° una de la otra. El signo del ángulo depende del sentido de giro de las tensiones fuera de fase
              1. En ningún momento la corriente demandada por la carga va a ser cero; mientras una fase sea cero, las otras dos van a contener la mitad de la tensión; la potencia total instantánea es constante
                1. Esto significa ventaja económica en aplicaciones industriales, ya que se mantiene el momento de torsión sobre el rotor de una forma constante y hay menos vibración. Además requiere solo 75% de material para la misma potencia en circuitos monofásicos
                  1. Para aplicaciones domésticas se usan monofásicas
                2. 1.2. Conceptos
                  1. Tensión de linea o compuesta VL
                    1. Tensión de fase o simple VF
                      1. Tensión entre un conductor de línea y el neutro
                      2. Intensidad de línea IL
                        1. Corriente de los conductores de línea
                        2. Intensidad de fase IF
                          1. Corriente que circula por los bobinados
                          2. Tensión entre dos conductores
                            1. Por defecto las tensiones y corrientes de un sistema trifásico se refieren a las de línea
                        3. 1.3. Componentes
                          1. Tenemos los tres generadores desfasados por 120°
                            1. Llamaremos VAA' al la tensión positiva entre A a A'
                          2. 1.4. Tipos de conexiones
                            1. a. Conexión en estrella Y
                              1. Unidos por medio de un borne común, el neutro
                                1. Tensiones simples o de fase (VF)
                                  1. Tensiones compuesta o de línea (VL)
                                    1. Las tensiones de líneas y fase son iguales para cada componente
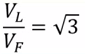
                                      1. La tensión de línea es de mayor amplitud que la de fase
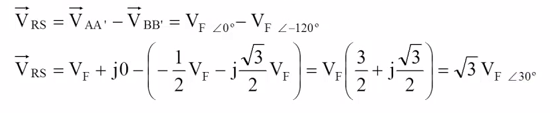
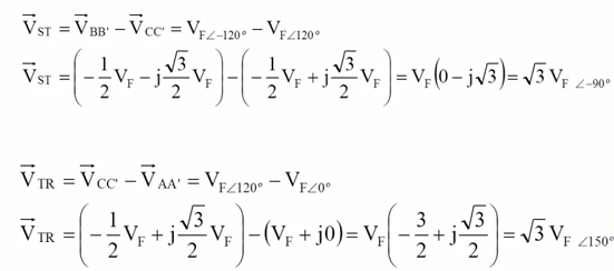
                                        1. Gráficamente las tensiones se ven así
                                          1. Se observa que las amplitudes de las tensiones de línea son iguales y están desfasadas con las de fase por un ángulo de 30°
                                    2. 1
                                    3. 1. Circuitos trifásicos (2)
                                      1. 1.4.b. Conexión en triangulo, delta
                                        1. Unión en serie. Se puede representar de estas dos formas equivalentes
                                          1. En este caso se puede observar que solamente existen las tensiones de línea
                                          2. 2
                                            1. 1.4.a. Conexión estrella (2)
                                              1. En definitiva las tensiones se ven así
                                                1. Se dice que las tensiones están en secuencia positiva cuando se encuentran en forma ABC (en sentido reloj). Se dice que son negativas cuando estan ABC (contra reloj)
                                            Show full summary Hide full summary

                                            Similar