null
US
Sign In
Sign Up for Free
Sign Up
We have detected that Javascript is not enabled in your browser. The dynamic nature of our site means that Javascript must be enabled to function properly. Please read our
terms and conditions
for more information.
Next up
Copy and Edit
You need to log in to complete this action!
Register for Free
1441467
A01620091_M6
Description
Mini-proyecto Módulo 6
No tags specified
georgina marlene freeman pacheco
Mind Map by
marlenefreeman
, updated more than 1 year ago
More
Less
Created by
marlenefreeman
over 11 years ago
20
0
0
Resource summary
A01620091_M6
Reglas vistas en la actividad 6.1: "Leyes de los Exponentes I"
Para todos los números reales a y b y todos los enteros m y n.
Regla del producto: a^^ * a^^ = a^^+^
Regla del cociente: a^^/a^ = a^^ - a^
Regla del exponente negativo: a-^^ = 1/a^^
Regla del exponente cero: a° = 1
Elevar una potencia a una potencia: (a^^)^ = a^^ ^
Elevar un producto a una potencia: (ab)^^ = a^^
Elevar un cociente a una potencia: (a/b)^^ = a^^/b^^
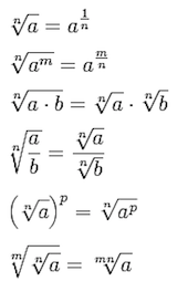
Reglas vistas en la actividad 6.2: "Expresar un radical como exponente fraccionario yviceversa"
^ a = 1/ a^
Reglas vistas en la actividad 6.3: "Simplificación de radicales con radicando entero"
Media attachments
Propiedades-Exponentes-Radicales-Radicacion-Matematicas-Algebra-Calculo-Blog-de-la-Nacho.PNG (image/PNG)
160a5b4ac79375bd4c5e13c0f3a95f73 (image/png)
Show full summary
Hide full summary
Want to create your own
Mind Maps
for
free
with GoConqr?
Learn more
.
Similar
Browse Library