Glucosa

Description

Mind Map on Glucosa, created by Hadith Gomez on 30/10/2014.
Hadith Gomez
Mind Map by Hadith Gomez, updated more than 1 year ago
Hadith Gomez
Created by Hadith Gomez over 11 years ago
143
0

Resource summary

Glucosa
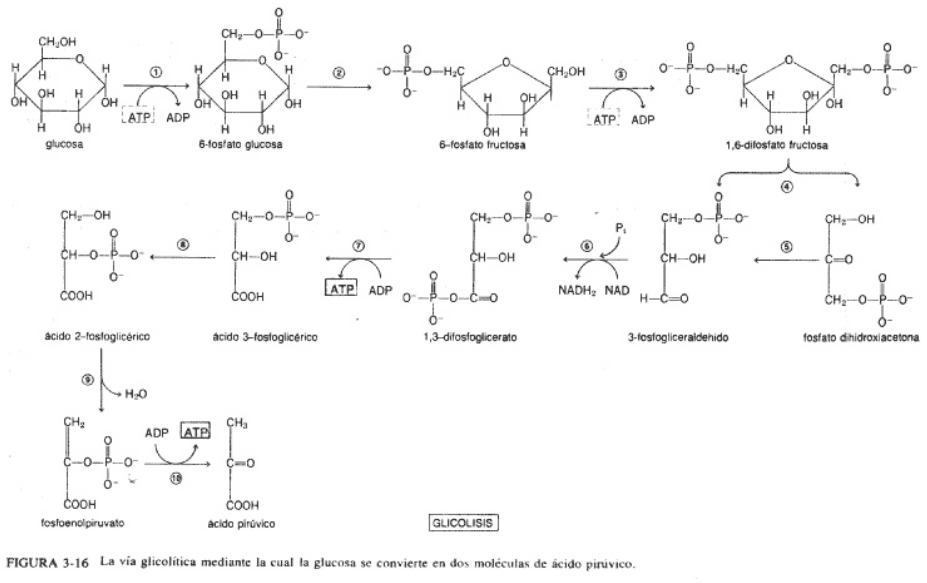
  1. GLUCOLISIS

    Annotations:

    • se pueden establecer dos fases  .Primera fase Activación de la hexosa (glucosa por ej.), con gasto de energía como ATP.  .Segunda fase Obtención de energía que se conserva como ATP.  
    1. Es una vía catabólica

      Annotations:

      • es una vía metabólica conservada
      • es decir presente en organismos filogenéticamente distantes
      • ocurre a través de reacciones enzimáticas, donde cada enzima cataliza una reacción o paso específico.
      1. El NADH.H generado en la glucólisis debe reoxidarse y generar NAD

        Annotations:

        • De no ser así la glucólisis se interrumpiría porque la enzima no tiene el cofactor oxidado para aceptar los hidrógenos.
      2. Piruvato

        Annotations:

        • Hay 9 reacciones enzimáticas que ocurren en el citoplasma y permiten la transformación de una molécula de glucosa a dos moléculas de piruvato
        1. La glucólisis es una vía que permite obtener ATP a las células
        2. Pentosa fosfato

          Annotations:

          • Ribosa-5-fosfato
          1. Reserva

            Annotations:

            • Sintesis de glucógeno, almidon y sacarosa
            1. Vías metabólicas
              1. Degradación del glucógeno

                Annotations:

                • La degradación del glucógeno ocurre desde los extremos 4-OH de las cadenas.
                • El enzima clave es la glucógeno fosforilasa
                • El enzima glucógeno fosforilasa cataliza la fosfor fosforóólisis de los enlaces α(1-4) glicosídicos, liberando glucosa-1- fosfato:
                1. Annotations:

                  • El enzima enzima desramificante desramificante tiene dos centros catalíticos independientes, resultante del plegamiento de una única cadena polipeptídica: Š La actividad transferasa permite hidrolizar un trisacárido de glucosa, y transferirlo al extremo de otra cadena.Queda una glucosa unida por un enlace α(1-->4). Š La actividad α(1-->6) glucosidasa hidroliza el enlace α(1--> 6) y libera glucosa. Es la única ocasión en la que se libera glucosa del glucógeno.
                      1. La ausencia de glucosa-6-fosfatasa en los otros tejidos hace que no sea posible la liberación de glucosa; antes bien la Glucosa-6-P proveniente de la glucogenolisis se destina a la glicolisis.
                        1. La regulación de la glucogenolisis

                          Annotations:

                          • La glucógeno fosforilasa es, de entre los varios enzimas que participan en el catabolismo del glucógeno, el enzima que más eficazmente regula la glucogenolisis.
                          • La regulación de la glucógeno fosforilasa hepática y la muscular es diferente
                          • La regulación de la glucogenolisis puede tener lugar por tres vías diferentes: -™Interconversión enzimática de la glucógeno fosforilasa (mecanismo dependiente de cAMP; hígado) ™-Activación del enzima por mecanismos dependiente de Ca2+ (músculo e hígado) ™-Activación alostérica (AMP)
                          • -Dado que el destino metabólico del glucógeno es diferente, la glucogenolisis está regulada por señales hormonales diferentes en cada tejido (glucagón en el hígado y β-adrenérgicos en el músculo). El glucagón se produce en respuesta a niveles bajos de glucosa. La epinefrina es parte de la respuesta , de “alerta” del individuo ante el peligro.
                          1. Regulación de la glucogenolisis (I)

                            Annotations:

                            • La glucógeno fosforilasa (hígado y músculo) existe bajo dos formas:
                            • "a" es una forma activa del enzima, fosforilada, cuya actividad es poco sensible a reguladores alostéricos. La de músculo es sensible a glucosa
                            • b"" es una forma defosforilada del enzima que es mucho menos activa, pero que puede ser activada por efectores alostéricos (más en músculo que en hígado).
                            1. Regulación de la glucogenolisis (II)

                              Annotations:

                              • En el hígado y músculo, la glucógeno fosforilasa es fosforilizada, y activada, por la fosforilasa kinasa
                              • Este enzima existe también bajo dos formas, una fosforilizada que es activa y otra no fosforilizada que es mucho menos activa
                              1. En hígado, la fosforilización y activación del enzima es catalizada por la proteína kinasa A, dependiente de cAMP

                                Annotations:

                                • El cAMP es un mensajero intracelular que es sintetizado por la adenilato ciclasa, a partir de ATP, y rápidamente degradado por la 3’-5’ fosfodiesterasa
                                    1. Annotations:

                                      • La Fosforilasa quinasa de músculo, cuya subunidad δ es la calmodulina, puede activarse por dos vías: 1) fosforilización de la subunidad β por la proteinquinasa “A” dependiente de cAMP; 2) unión de Ca++-calmodulina para formar el holoenzima.
                                      1. Annotations:

                                        • Los mecanismos desactivación de la glucogenolisis...
                                        • Los mecanismos descritos explican cómo tras una señal apropiada, se pone en marcha la glucogenolisis pudiendo dar la impresión de que una vez activada no cesaría hasta haber degradado totalmente el glucógeno.
                                        • Sin embargo existen en la célula toda una serie de mecanismos de desactivación que garantizan que la glucogenolisis solo estará activa si existe un estímulo continuado para que así sea.
                                        • En cuanto cesa ese estímulo, cesa poco después la degradación del glucógeno...
                                        • Los mecanismos de Los mecanismos de inactivaci inactivacióónn act actúúan a varios niveles: an a varios nivele
                                        • 1. Disminución de los niveles de cAMP  -Inactivación de la adenilato ciclasa por separación de G-GTP a G-GDP y su separación del enzima -Hidrólisis del cAMP por la fosfodiesterasa -Inactivación de la Proteína quinasa A
                                        • 2. Disminución del Ca2+  -intracelular por bombeo a los correspondientes reservorios
                                        • 3. Defosforilización de la glucógeno fosforilasa y la y la fosforilasa  -quinasa por una fosfoproteín-fosfatasa que se inactiva por efecto del glucagón y proteína quinasas
                    1. ciclo de krebs

                      Annotations:

                      •  es una vía metabólica presente en todas las células aerobias, es decir, las que utilizan oxígeno como aceptor final de electrones en la respiración celular.
                      •  En los organismos aerobios las rutas metabólicas responsables de la degradación de los glúcidos, ácidos grasos y aminoácidos convergen en el ciclo de Krebs, que a su vez aporta poder reductor a la cadena respiratoria y libera CO2 
                      1. Fosforilación oxidativa

                        Annotations:

                        • Proceso por el cual los electrones se transfieren desde el NADH y FADH2 al O2 a través de tres complejos proteicos de la membrana mitocondrial interna
                        1. Annotations:

                          • Transportadores de electrones: Producidos durante la glucólisis,ciclo del ácido cítrico y en la oxidación de los ácidos grasos.• La fosforilación oxidativa es el proceso por el que se forma ATPcuando, mediante una serie de transportadores de electrones, setransfieren electrones desde el NADH o el FADH2 al O2.
                          1. NADH y FADH2

                            Annotations:

                            • En este proceso de transferencia electrónica es donde se producirá un fuerte desprendimiento energético aprovechado para la formación de enlaces de alta energía en forma de ATP. 
                            • La fosforilación oxidativa se define como la formación de ATP generada por la transferencia de electrones.
                            • Todas las rutas catabólicas, en los organismos aerobios, convergen para permitir el flujo de electrones hasta el oxígeno, produciendo energía para la generación de ATP constituí- yendo la etapa final del catabolismo de todas las biomoléculas.
                            1. REGULACIÓN DE LA FOSFORILACIÓN OXIDATIVA

                              Annotations:

                              • La velocidad con que se desarrolla la fosforilación oxidativa está marcada por las necesidades energéticas de la célula.
                              •  Para que el proceso se realice de forma correcta se requiere un aporte de sustratos como NADH (o FADH2), O2, ADP y Pi siendo el más importante el ADP. 
                              • Esta regulación por ADP se denomina control respiratorio, ya que el consumo de O2 por parte de la mitocondria, es dependiente de la cantidad de ADP presente.
                        2. BETA OXIDACIÓN

                          Annotations:

                          • es un proceso catabólico en él que los ácidos grasos sufren remoción de un par de átomos de carbono en cada ciclo de la oxidación hasta el ácido graso se descompone por completo en forma de moléculas acetil-CoA.
                          • Estas pueden ingresar en el ciclo de Krebs, y las coenzimas reducidas NADH y FADH2 sirven como donadores de electrones en la cadena respiratoria. La oxidación beta tiene lugar en la matrix interior de las mitocondrias y se compone de 4 pasos por ciclo.
                          • Antes de que la oxidación beta puede ocurrir, los ácidos grasos necesitan ser activados, es decir reciben "más energía" a través de la unión a la Coenzima A (HSCoA).
                          • La propia oxidación beta se efectua en el interior de la mitocondria, es decir en la matriz. 
                          1. Pasos

                            Annotations:

                            • La β-oxidación consiste en 4 pasos cuyos productos finales son una molécula de acetil-CoA que ingresa en el ciclo de Krebs como parte de la respiración celular, y una molécula de acil-CoA que ahora es 2 átomos de carbono más corta que antes.
                            • Además se producen una molécula de FADH2 y una de NADH/H+ que ingresan en la cadena respiratoria para obtención directa de ATP.
                            1. Annotations:

                              • (1) Oxidación. La enzima acil-CoA-deshidrogenasa forma un doble enlace en el acil-CoA entre el átomo C-2 (carbono α) y el átomo C-3 (carbono β). Como agente oxidante sirve el FAD.
                              • (2) Hidratación del doble enlace entre C-2 y C-3 por la enzima enoil-CoA-hidratasa.
                              • (3) Oxidación. La enzima hidroxiacil-CoA-deshidrogenasa convierte el grupo hidroxilo (–OH) en un grupo cetona (=O). Como agente oxidante sirve esta vez NAD+.
                              • (4) Tiólisis. Este paso consiste en la separación del 3-cetoacil-CoA por el grupo tiol de otra molécula de CoA. El tiol es insertado entre C-2 y C-3, reacción que es catalizada por una tiolasa.
                              1. Activación de un ácido graso

                                Annotations:

                                • La reacción del ácido graso con la coenzima A para formar Acil-CoA la cataliza la enzima Acil-CoA-sintetasa (en la imagen naranja) que se encuentra en la membrana externa de la mitocondria. 
                                • Recordamos que las mitocondrias son rodeadas por dos membranas lipídicas dobles, mientras que las células disponen de una capa solamente.  
                                1. Transporte por medio de la carnitina

                                  Annotations:

                                  • Para transportar los ácido grasos (rojo) a la matriz se precisa alguna molécula transportadora ya que la Coenzima A no puede pasar la membrana interior. 
                                  • Para ello, el ácido graso es transferida a un aminoácido llamado carnitina (verde) a través de la carnitina palmitoiltransferasa I que a su vez libera la CoA al exterior.
                                  • En la membrana mitocondrial interior se encuentra la carnitina palmitoiltransferasa II que efectua este proceso al revés: transfiere el resto acil de la carnitina a otra Coenzima A, pero esta vez en la matriz mitocondrial.
                          2. Degradación de proteinas

                            Annotations:

                            • La degradación de las proteínas desempeña importantes funciones, ya sea por la modulación de los niveles intracelulares de proteínas específicas (proteólisis limitada), como por la eliminación de proteínas anormales. 
                            1. Annotations:

                              • La degradación es ejecutada por proteasas, llamadas modernamente peptidasas
                              • Se podrían distinguir exopeptidasas y endopeptidasas
                              1. Grupo A o Endopeptidasas

                                Annotations:

                                • Tripsina; Quimotripsina; Elastasa; Trombina
                                • Son enzimas específicas que rompen enlaces peptídicos en el centro de la cadena del polipéptido, de forma que la tripsina actúa hidrolizando los enlaces centrales donde estén los aminoácidos básicos. La quimiotripsina hidroliza los enlaces donde estén los aminoácidos aromáticos y la elastasa rompe los enlaces polipeptídicos donde estén los aminoácidos alifáticos neutros 
                                1. Grupo B o Exopeptidasas

                                  Annotations:

                                  • Subtilisina y homólogos
                                  •  son específicas porque rompen el extremo carboxílico de la cadena polipeptídica carboxipeptidasa A y carboxipeptidasa B. 
                            2. Un balance posible de la degradación total de la glucosa
                              Show full summary Hide full summary

                              Similar

                              Metabolismo de los hidratos de Carbono
                              Andrea Collipal
                              Rutas metábolicas correspondientes al metabolismo de carbohidratos
                              ROSA ANTONIO
                              GLUCOSA
                              Andrea Collipal
                              TEST BIOQUÍMICA (SELECCIÓN)
                              JORGE LEOBARDO PACHECO GAYOSSO
                              CATABOLISMO DE LA GLUCOSA
                              Lukas Parada
                              Hidratos de carbono
                              Cata Marín
                              Biomoléculas
                              Flor Farias
                              Carbohidratos
                              adilene arellano
                              BIOQUIMICA
                              Rosa Vélez
                              Vías metabólicas carbohidratos
                              Edgar Sierra