Integral Definida

Description

Mind Map on Integral Definida, created by Fabian Sanchez on 12/11/2014.
Fabian Sanchez
Mind Map by Fabian Sanchez, updated more than 1 year ago
Fabian Sanchez
Created by Fabian Sanchez about 11 years ago
11
0

Resource summary

Integral Definida
  1. Dada una función f(x) y un intervalo [a,b], la integral definida es igual al área limitada entre la gráfica de f(x), el eje de abscisas, y las rectas verticales x = a y x = b.
    1. Dada una función f(x) y un intervalo [a,b], la integral definida es igual al área limitada entre la gráfica de f(x), el eje de abscisas, y las rectas verticales x = a y x = b.
        1. La integral definida se representa por símbolo integral definida. ∫ es el signo de integración. a límite inferior de la integración. b límite superior de la integración. f(x) es el integrando o función a integrar. dx es diferencial de x, e indica cuál es la variable de la función que se integra.
          1. Propiedades de la integral definida
            1. Ejemplo: Sea f(t) una función continua en el intervalo [a,b]. A partir de esta función se define la función integral:
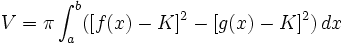
              1. Sólido de Revolución: Se denomina sólido de revolución o volumen de revolución, al sólido obtenido al rotar una región del plano alrededor de una recta ubicada en el mismo, las cuales pueden o no cruzarse. Dicha recta se denomina eje de revolución. Sea f una función continua y positiva en el intervalo [a,b]. Si la región R indicada en la figura rota alrededor del eje X, ésta genera un sólido de revolución cuyo volumen tratamos de determinar.
                1. 1.- 1. El valor de la integral definida cambia de signo si se permutan los límites de integración.propiedad de la integral definida
                  1. 2. Si los límites que integración coinciden, la integral definida vale cero. propiedad
                    1. 3. Si c es un punto interior del intervalo [a, b], la integral definida se descompone como una suma de dos integrales extendidas a los intervalos [a, c] y [c, b]. propiedad
                      1. 4. La integral definida de una suma de funciones es igual a la suma de integrales· propiedad
                        1. 5. La integral del producto de una constante por una función es igual a la constante por la integral de la función. propiedad
          Show full summary Hide full summary

          Similar

          Mapa Mental: Teoría Fundamental Del Cálculo
          Alejandro Saldaña
          Mapa Mental: Teoría Fundamental Del Cálculo
          aurelio rovira
          Mapa Mental: Teoría Fundamental Del Cálculo integral
          luis fernando
          Teoría Fundamental del Cálculo
          warkult assgard
          Mapa Mental: Teoría Fundamental Del Cálculo El Cálculo, como componente esencial de lo que se conoce como matemáticas del cambio, es una potente y compleja herramienta articulada, sobre todo, alrededor El Cálculo, como componente esencial de lo que se con
          aurelio rovira
          Fichas estudio calculo 2
          cheviom