Estatística

Description

1º ano Matemática Mind Map on Estatística, created by Ewelyn Dalize Siqueira on 02/04/2019.
Ewelyn Dalize Siqueira
Mind Map by Ewelyn Dalize Siqueira, updated more than 1 year ago
Ewelyn Dalize Siqueira
Created by Ewelyn Dalize Siqueira almost 7 years ago
14
0

Resource summary

Estatística
  1. Ciência exata que estuda a coleta, organização, análise e registros de dados de amostra; Metodo de pesquisa
    1. Fases da estatística: Definição de problema: determinar como a recolha de dados pode solucionar um problema
      1. Planejamento: elaborar e fazer um levantamento dos dados
        1. Coleta de dados: reunir dados após o planeamento do trabalho pretendido, bem como definição da periodicidade da coleta (contínua, periódica, ocasional ou indireta)
          1. Correção dos dados coletados: conferir dados para afastar algum erro por parte da pessoa que os coletou
            1. Apuração dos dados: organização e contagem dos dados
              1. Apresentação dos dados: montagem de suportes que demonstrem o resultado da coleta dos dados (gráficos e tabelas)
                1. Análise dos dados: exame detalhado e interpretação dos dados
      2. Utilizada em análise de dados sociais, demográficos e econõmicos
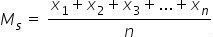
        1. Média Aritmética Simples: Esse tipo de média funciona de forma mais adequada quando os valores são relativamente uniformes. Fórmula:
          1. Ms: média aritmética simples; x1, x2, x3,...,xn: valores dos dados; n: número de dados
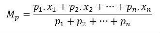
          2. Média Aritmédica Ponderada: A média aritmética ponderada é calculada multiplicando cada valor do conjunto de dados pelo seu peso. Depois, encontra-se a soma desses valores que será dividida pela soma dos pesos.
            1. Mp: Média aritmética ponderada p1, p2,..., pn: pesos x1, x2,...,xn: valores dos dados
            2. A média (Me) é calculada somando-se todos os valores de um conjunto de dados e dividindo-se pelo número de elementos deste conjunto.
              1. A Moda (Mo) representa o valor mais frequente de um conjunto de dados, sendo assim, para defini-la basta observar a frequência com que os valores aparecem. Um conjunto de dados é chamado de bimodal quando apresenta duas modas, ou seja, dois valores são mais frequentes.
                1. A Mediana (Md) representa o valor central de um conjunto de dados. Para encontrar o valor da mediana é necessário colocar os valores em ordem crescente ou decrescente. Quando o número elementos de um conjunto é par, a mediana é encontrada pela média dos dois valores centrais. Assim, esses valores são somados e divididos por dois.
              Show full summary Hide full summary

              Similar

              Conhecimentos de Estatística e Probabilidade
              Sem Parar
              Equações estatísticas
              Luiz Fernando
              Tabuada
              Alessandra S.
              Matemática Básica
              Alessandra S.
              Geometria Plana
              Bruno Fernandes3682
              Como Estudar Matemática
              Alessandra S.
              Simulado de Matemática
              Alessandra S.
              Simulado Matemática
              Marina Faria
              Roteiro de Estudo - Matemática
              Luiz Fernando
              Plano de estudos ENEM - Parte 2 *Exatas/Biológicas
              GoConqr suporte .
              Geometria Plana Triângulo
              Luiz Antonio Lopes