null
US
Sign In
Sign Up for Free
Sign Up
We have detected that Javascript is not enabled in your browser. The dynamic nature of our site means that Javascript must be enabled to function properly. Please read our
terms and conditions
for more information.
Next up
Copy and Edit
You need to log in to complete this action!
Register for Free
17681220
FUNCIONES.
Description
ES PARA PASAR UNA MATERIA
No tags specified
granados cruz aranza
otro
Mind Map by
daniela sanchez
, updated more than 1 year ago
More
Less
Created by
daniela sanchez
almost 7 years ago
139
0
0
Resource summary
FUNCIONES.
FUNCIONES CRECIENTES Y DECRECIENTES
FUNCION POLINOMIAL
FUNCION EXPONENCIAL
VARIABLES Y CONSTANTES
FUNCIONES ALGEBRAICAS TRASCEDENTES
GRAFICAS DE FUNCIONES CUADRATICAS
EL VERTICE
FUNCION RACIONAL
DIVICION SINTETICA
TRASLACION VERTICAL DE FUNCIONES
FUNCION LOGARITMETICA
FUNCIONES TRIGONOMETRICAS
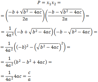
PROPIRDADES DE LAS RAICES DE UNA ECUACION DE SEGUNDO GRADO
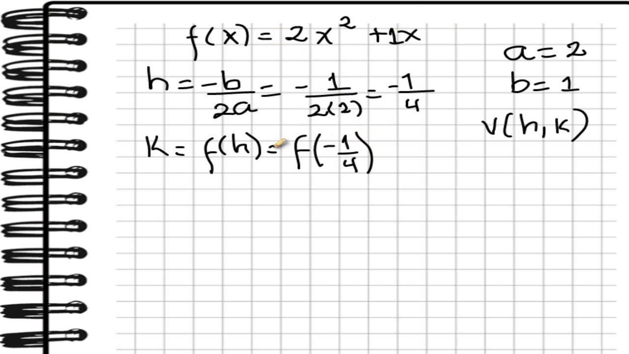
MAXIMOS Y MINIMOS DE UNA FUNCION CUADRATICA
PROPIRDADES DE LA FUNCION LINEAL
FUNCIONES CONTINUAS Y DESCONTINUAS
FUNCION CONSTANTE
FUNCION LINEAL
DOMINIO Y RANGO DE UNA DIVICION
PRODUCTO Y COCIENTE DE FUNCIONES
FUNCINES INYECTIVAS, SOBREYECTIVAS Y BIYECTIVAS
Media attachments
Hqdefault (image/jpeg)
Maxresdefault (image/jpeg)
Funcion Exponencial (image/jpeg)
Formas De Las Funcioes (image/jpeg)
2grado Prop5 3 (image/png)
Image007 (image/png)
Ipc3a (image/png)
Sine (image/gif)
Funciones+Algebraicas+Y+Trascendentes (image/jpeg)
Polinomial (image/jpeg)
Traslaciones 1 (image/jpeg)
Divisi%C3%B3n+De+Polinomios (image/jpeg)
250px Rational Degree2by Xedi (image/gif)
Img2 (image/jpeg)
162 Funcion Logaritmica 1 (image/png)
Variables Y Constantes 6 638 (image/jpeg)
Material C78 Gb8 D9 (image/png)
Function Mapping (image/gif)
14447 (image/jpeg)
300px Función Constante 01.Svg (image/png)
300px Funcion Lineal03.Svg (image/png)
240px Bacho 2 (image/jpeg)
Show full summary
Hide full summary
Want to create your own
Mind Maps
for
free
with GoConqr?
Learn more
.
Similar
Aparato Locomotor.
Anita Morales
PROMOTOR DE LAS TIC
Ana Maria Gómez Villanueva
FUNCIONES
Martha Carmina Velasco Rojas
Browse Library