null
US
Sign In
Sign Up for Free
Sign Up
We have detected that Javascript is not enabled in your browser. The dynamic nature of our site means that Javascript must be enabled to function properly. Please read our
terms and conditions
for more information.
Next up
Copy and Edit
You need to log in to complete this action!
Register for Free
18337311
Transformación lineal
Description
Mind Map on Transformación lineal, created by Jessica Gonzalez on 02/06/2019.
Mind Map by
Jessica Gonzalez
, updated more than 1 year ago
More
Less
Created by
Jessica Gonzalez
over 6 years ago
19
0
0
Resource summary
Transformación lineal
es una función
K-espacios vectoriales compatibles con la estructura
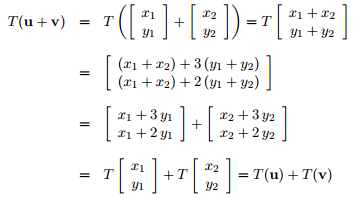
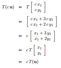
T : V → W tal que para todos los vectores u y v de V y cualquier escalar c: a) T (u + v) = T (u) + T (v) b) T (c u) = c T (u)
Para todo escalar C
se cumplen las dos condiciones
preserva combinaciones lineales
Media attachments
0xtec Ng6v Ads59ev D Rig5e Ko Jv Wpy Q Jrc Fp4 Hju0o V Zm Gsjem Ge D2ks9z I Nru Busj Kh7m H Zjo Bj V Wuq Jx8n Ds Bb00zo Gt Qx I Zp Z0 F Bhgu Ja Wa83 Izc3 Rq A (image/png)
Aag Pu Qn J6g Kq Z G Ogxm Sn Wo Yhp It2h Qq S1h Kir Xirb Xdxbomz Qont Knhp6daq Bg Dq Qo4h 6 L2 A Eeuxt Ny M Hau3qas S5s Y Cl Tq6go5 5 Q8 Nu W Ud Hqa Wu3 H9 Fw (image/png)
Lhi Ltrj Xg65 Fywwb Uu Ba0h M7h451 Od E8 X Mnqsg0 Jg U J2w Oaov5 Vrfauw2a Rn8 M M Kc8 B Uv Z Dlnd C9ld2ulhi9 Evza Dbwq30 C0g Ejv Ip Dm6b Ixx J Ru N Ex3w (image/png)
Nb Hw S Uwf Kix Ga Mng Ipa R87 W Rw F Iib90c Fk6 M3 Vtx A Jom Cgvjxz4 Rwmn4b Wde Dj Jb Ujwx8 Ah D Ll Uc V6 Wl 9 D9 Seg G Sj Owp Tq Zy093 E3k Y54 Axr I9 Jv I5 X Et A (image/png)
Cy09l Ry T Fc9 Do1 Eq5tkj9r Xq An32a Ca Hun Qwk P Jc4 J Mih A5al C Dcht53 Mk Nqj9r1m9 Xz Le Wc Vxlcb5z Ek Z Evib D8y W4 Xw B0a Yo4 S Xa7m1 Ss Nob2r1xc Epl7 A (image/png)
Show full summary
Hide full summary
Want to create your own
Mind Maps
for
free
with GoConqr?
Learn more
.
Similar
TRANSFORMACIÓN LINEAL
Leslie Leon
TRANSFORMACIÓN LINEAL
Jose Maria Vega
Browse Library