DISTRIBUCIÓN NORMAL

Description

LECTURA 7,8,9 FIORELLA ARI TICONA
fioticona20395
Mind Map by fioticona20395, updated more than 1 year ago
fioticona20395
Created by fioticona20395 almost 11 years ago
53
0

Resource summary

DISTRIBUCIÓN NORMAL
  1. En la estadística y probabilidad se le llama distribución normal
    1. También es conocida como:
      1. Variable Aleatoria Continua
        1. ES
          1. Aquella que puede asumir un número infinito de valores
            1. Dentro de un determinado Rango
        2. Distribución de Probabilidad Normal
          1. ES
            1. La Distribución de probabilidad más importante
              1. CARACTERISTICAS
                1. Es simétrica alrededor de su media.
                  1. Su curva desciende suavemente en ambas direcciones a partir del valor central.
                    1. Y
                      1. Tiene forma acampanada.
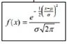
            2. Función de Densidad de Probabilidad
              1. ES
                1. La probabilidad de que una variable aleatoria (v.a.) X tome un valor determinado entre dos números reales
                  1. a y b
                    1. COINCIDE CON:
                2. Distribución Normal Estandar
                  1. ES
                    1. Aquella que tiene por media el valor ¨0¨
                      1. u = 0
                        1. y por desviación típica la unidad.
                          1. o =1
                    2. SU FORMULA
                  2. Características Fisiológicas
                    1. Toma valores Infinitos
                      1. Gráficas de Densidad
                        1. Campana de Gaus
                          1. Simétrica
                            1. Forma Acampanada
                            Show full summary Hide full summary

                            Similar

                            DISTRIBUCIÓN NORMAL
                            GLORIA SERRANO JIMENEZ
                            Conceptos fundamentales de probabilidades
                            Manuel Bolaños
                            Estadistica
                            catavm1408
                            Examen UNIDAD III LPCYE
                            Abel Cuevas
                            ESTADISTICA
                            lilo hdz
                            mapa 9 al 12 estadistica
                            janeth galicia
                            DISTRIBUCIÓN NORMAL
                            KLEY DAMIAN LONDOÑO VILLA
                            Distribución Normal
                            Marcela Ramirez
                            Distribución Normal
                            Marcela Ramirez
                            Distribución Normal
                            Marcela Ramirez
                            Distribución Normal
                            Marcela Ramirez