Estática

Description

Enem Física (Mecânica) Mind Map on Estática, created by Antonyonne Soares Bessa on 14/05/2020.
Antonyonne Soares Bessa
Mind Map by Antonyonne Soares Bessa, updated more than 1 year ago
Antonyonne Soares Bessa
Created by Antonyonne Soares Bessa over 5 years ago
10
0

Resource summary

Estática
  1. Grandezas
    1. Escalar
      1. Apenas um valor
      2. Vetorial
        1. Valor
          1. Orientação
            1. Direção
              1. Sentido
          2. Vetor
            1. Segmento de reta
              1. Orientado
                1. Representar grandezas vetoriais
                2. Soma de vetores
                  1. Junção de origens
                    1. Regra do paralelogramo
                      1. Lei dos Cossenos
                      2. Regra do polígono
                  2. Equilíbrio de POnto Material
                    1. ângulos diferentes
                      1. T1
                        1. Tx = T1 . cosӨ
                          1. Ty = T1 . senӨ
                          2. O mesmo se aplica a T2
                            1. No plano Y é equilíbrio com a Normal
                              1. No X as duas forças se equivalem
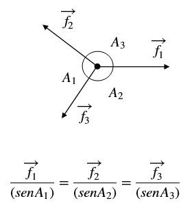
                              2. Teorema de Lamy
                            2. Equilíbrio de corpo extenso
                              1. Condições
                                1. Fr = 0N
                                  1. Momento Resultante nulo
                                  2. Momento ou Torque
                                    1. Somente forças perpendiculares ao ponto fixo
                                    2. Sua Rotação => Momento Resultante = 0 Nm
                                      1. Sua Translação => Força Resultante = 0 N
                                        1. FR = 0 ⇒ N = P + P1 + P2
                                        2. MR = 0 ⇒ MN + MP1 + MP2 + MP = 0
                                      Show full summary Hide full summary

                                      Similar

                                      Leis de Newton.
                                      GoConqr suporte .
                                      Cinemática Escalar: Conceitos fundamentais
                                      Bruno Fernandes3682
                                      Fórmulas de física
                                      Alessandra S.
                                      Física moderna
                                      GoConqr suporte .
                                      Plano de estudos ENEM - Parte 2 *Exatas/Biológicas
                                      GoConqr suporte .
                                      ÁTOMO
                                      Hugo Fonseca
                                      Oscilações, ondas, óptica e radiação
                                      Sem Parar
                                      Simulado de física
                                      Alessandra S.
                                      Ondulatória
                                      Leatrice Barros
                                      Simulado ENEM - Ciências da Natureza
                                      Nathalia - GoConqr
                                      Física - Sobre Ondas
                                      Helen Manzur