Números Complejos

Description

trabajo de mate
a01021964
Mind Map by a01021964, updated more than 1 year ago
a01021964
Created by a01021964 almost 11 years ago
14
0

Resource summary

Números Complejos
  1. forman
    1. Un grupo de cifras resultantes de la suma entre un número real y uno imaginario.
      1. están formados por
        1. Números reales
          1. lo que significa...
            1. Que pueden ser expresados por un número entero o decimal.
              1. por ejemplo
                1. Enteros: 4, 15, 2686
                  1. Decimales: 4.23, 7.653, 1824.669
            2. Números imaginarios
              1. los cuales...
                1. Son aquellos cuyo cuadrado es negativo.
                  1. por ejemplo
                    1. √-25, √-1
        2. tiene
          1. Una forma rectangular
            1. se repersenta
              1. Z = a + bi
            2. Una forma conjugada
              1. que se representa
            3. pueden
              1. Ser utilizados para varios campos de las matemáticas
                1. como
                  1. Física
                    1. Ingeniería
                2. existen
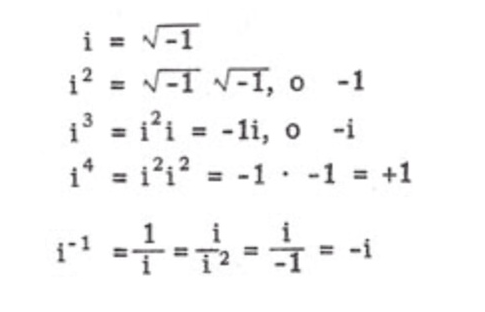
                  1. Potencias para la unidad imaginaria
                    1. como
                  Show full summary Hide full summary

                  Similar

                  CÁLCULOS con [ 3 · 5 · 7 ]
                  JL Cadenas
                  Preguntas del Pensamiento Matemático
                  Diego Santos
                  Factorización de Expresiones Algebráicas
                  maya velasquez
                  Matrices y Determinantes
                  Diego Santos
                  Ensayo PSU Matemáticas
                  Diego Santos
                  Derivadas
                  erendira.aviles
                  Integrales Indefinidas
                  Rupert012
                  El número pi
                  angel tamayo
                  EL RINCÓN DE MATEMÁTICAS
                  dolorstodoli
                  Ecuaciones (Primer Grado)
                  Diego Santos
                  Fórmulas Geométricas (Perímetros)
                  Diego Santos