Funciones Polinomiales

Description

Funciones polinomiales. Definir una función polinomial. Reconocer la función constante, lineal y cuadrática como casos particulares de una función polinomial. Definir el concepto de coeficiente principal de una función polinomial
tama_futbol
Mind Map by tama_futbol, updated more than 1 year ago
tama_futbol
Created by tama_futbol almost 11 years ago
41
1

Resource summary

Funciones Polinomiales
  1. Tamara Curiel A01021611
    1. Son
      1. Modelos que describen relaciones entre dos variables que intervienen en diversos problemas, de aplicación real
        1. Casos
          1. Función Constante
            1. f(x)=k
              1. Una función polinómica de grado 0
                1. Gráfica
                  1. Su gráfica es una recta horizontal que pasa por todos los puntos de ordenada y=k
              2. Función Lineal
                1. f(x) = ax + b
                  1. Formula
                    1. a representa la pendiente y b representa el intercepto en y
                    2. Representación
                      1. Su gráfica es una recta que pasa por el punto (0,b) y cuya inclinación depende del valor de a
                      2. Requisitos
                        1. Tiene que ser a≠0
                    3. Función Cuadrática
                      1. f(x)=ax2+bx+c
                        1. Gráfica
                          1. Su gráfica es una parábola abierta hacia arriba sia>0, o hacia abajo si a<0.
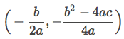
                            1. Vertice
                              1. El vertice de esta parabola seria
                              2. Corte
                                1. El punto de corte con el eje vertical es c. Y esos cortes son las soluciones a esta ecuación
                            2. Se obtiene
                              1. Para obtener una función cuadrática es necesario que a≠0.
                            3. Esta es
                              1. Una función polinómica de segundo grado
                        2. Funciones en las que f(x) es un polinomio en x
                        3. Coeficiente
                          1. Son cada uno de los números que multiplican a las potencias (variables).
                            1. Principal
                              1. es el coeficiente (diferente de cero) de la máxima potencia que aparece en el polinomio.
                          2. Anonimo. (2011). Funciones polinómicas: constante, afín y cuadrática. 28/04/2015, de sangakoo Sitio web: http://www.sangakoo.com/es/temas/funciones-polinomicas-constante-afin-y-cuadratica
                            Show full summary Hide full summary

                            Similar

                            Ecuaciones de segundo grado
                            tama_futbol
                            ECUACIONES LINEALES
                            Juan Sebastian Tobar Segura
                            Funciones algebraicas y trascendentes
                            Mauricio Flores
                            ecuaciones de primer grado
                            marsarzmcs
                            ESTADÍSTICA Y PROBABILIDAD
                            Naidelyn Ibarra
                            93.Semana de Mata (5 y 8 de marzo)
                            Ismael Vázquez
                            Numeros Complejos
                            agustinalban
                            ESCRITURA DE NUMEROS
                            pat_si_pat
                            PROBLEMAS DE FRACCIONES
                            rafael.torralbo.
                            Derivadas
                            Marilen Rios