Estadistica

Description

estadistica regresiones
paola  machado
Mind Map by paola machado, updated more than 1 year ago
paola  machado
Created by paola machado almost 11 years ago
17
0

Resource summary

Estadistica
  1. Regresiones
    1. Relacion variable (Y) con otras variables
      1. analisis de la regresion
        1. 1-Pronosticar lo que pasara en el tiempo con las variables
          1. 2. Obtener una gráfica promedio representativa
          2. Regresiones lineales
            1. intentaremos ajustar una recta promedio a una nube de puntos dispersos en el plano
              1. Regresión cuadrática
                1. Para realizar una regresión cuadrática se parte de la ecuación de segundo grado
                2. Ajuste de una función potencial
                  1. Una función matemática de la forma Y = a X m, se la llama potencial. Para obtener una expresión matemática que a partir de unos datos permita hacer interpretaciones se recurre a los logaritmos naturales y sus propiedades.
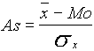
                3. Medidas de asimetría y apuntamiento
                  1. Medidas de asimetría
                    1. se presenta en tres formas diferentes: Simétricas, asimétricas negativas, asimétricas positivas
                        1. Medidas Simétricas
                          1. Coeficiente de asimetría de Fisher
                            1. Se define como el momento de tercer orden respecto a la media dividido entre el cubo de la desviación típica.
                            2. Coeficiente de asimetría de Pearson
                              1. Medidas de apuntamiento o curtosis
                                1. Miden la mayor o menor cantidad de datos que se agrupan en torno a la moda
                                1. medidas de concentración
                                  1. Se denomina concentración a la mayor o menor equidad en el reparto de la suma total de los valores de la variable considerada (Renta, salarios).
                                    1. Concentración máxima
                                        1. Concentración mínima o equidistribución
                                            1. De las medidas de concentración que existen, se estudiaran dos
                                              1. Índice de concentración de gini
                                                  1. El índice de concentración de Gini se construye a partir de los cálculos de las siguientes cantidades: Sea una distribución de rentas (x_(i, ) f_i) de la que se elaborara una tabla con los resultados
                                                  2. Curva de Lorenz
                                                    1. mediante la curva de Lorenz que se construye representado en el eje de abcisas el porcentaje de frecuencias acumuladas (pi) y en el eje de ordenadas los porcentajes acumulados del total de la variable (qi). Al unir estos puntos obtenemos la curva de Lorenz.
                                                  Show full summary Hide full summary

                                                  Similar

                                                  MAPA MENTAL ESTADISTICA
                                                  fidel451
                                                  Ecuaciones Estadísticas
                                                  Diego Santos
                                                  BIOESTADISTICA
                                                  Ad Card
                                                  Cuestionarios de Probabilidad y Estadistica
                                                  Saddy Jair Aragon Pimentel
                                                  GRAFICOS EN ESTADISTICAS
                                                  Adriana Cortes Barbosa
                                                  Medidas Estadísticas Bivariantes de Regresión
                                                  Fernando Henao Castaño
                                                  Etapas para el inicio de una investigación estadística
                                                  carlos taramuel
                                                  Las ventajas y desventajas de la investigación cualitativa
                                                  Olga sofia Gonzalez
                                                  PROBLEMÁTICA AMBIENTAL
                                                  Edison Andres Pinto Forero
                                                  METODOS PROBABILISTICOS
                                                  duvan heavy
                                                  PRUEBA DE ESTADÍSTICA GRADO SEPTIMO
                                                  jennydaza28