null
US
Sign In
Sign Up for Free
Sign Up
We have detected that Javascript is not enabled in your browser. The dynamic nature of our site means that Javascript must be enabled to function properly. Please read our
terms and conditions
for more information.
Next up
Copy and Edit
You need to log in to complete this action!
Register for Free
2877373
COCIENTES NOTABLES
Description
Este mapa va dirigido a estudiantes de octavo grado.
No tags specified
propiedades
casos
ejemplos
Mind Map by
Angela Tafur
, updated more than 1 year ago
More
Less
Created by
Angela Tafur
over 10 years ago
1434
0
0
Resource summary
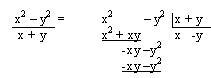
COCIENTES NOTABLES
son aquellos que resultan de divisiones exactas entre polinomios, es decir que el resto es igual a cero.
Existen 3 casos de cocientes notables
.
Propiedades
Ejemplos
Media attachments
dba2bc0a-2911-4429-b0d1-28a58318c79b (image/png)
1c4bd4e6-8129-42da-9de4-6fc782b4e7cc (image/png)
6c07f6b6-31c9-4b56-ad01-cc501d8e16e5 (image/jpg)
c8b0c55b-b832-4598-8858-153b0968239f (image/jpg)
Show full summary
Hide full summary
Want to create your own
Mind Maps
for
free
with GoConqr?
Learn more
.
Similar
El sustantivo. Aspectos morfológicos: género.
Mailén Urrutia
MATERIALES CERAMICOS
wamadi01
Argumento Mediante Ejemplos
cristian-omana
FLUIDOS
andres Gerardo ordoñez Alvarez
Cómo se prepara un estudio de casos
ciedunid
GoConQr. EJEMPLOS...
Ulises Yo
Glosario propiedades de la materia
Cami Puaque
NORMAS DE CONVIVENCIA
MLaura
Introducción a los Derechos Humanos
Fernanda Tellechea
¿Qué es la Hidrostática?
Gabriela Orz Gmz
Casos de Factorización.
Angie Paola Plazas Mavesoy
Browse Library