null
US
Sign In
Sign Up for Free
Sign Up
We have detected that Javascript is not enabled in your browser. The dynamic nature of our site means that Javascript must be enabled to function properly. Please read our
terms and conditions
for more information.
Next up
Copy and Edit
You need to log in to complete this action!
Register for Free
29518786
Vectores:
Description
dsdfds
Mind Map by
Xime Castaño
, updated more than 1 year ago
More
Less
Created by
Xime Castaño
almost 5 years ago
0
0
0
Resource summary
Vectores:
Deben tener número, unidad, dirección y sentido. Ejemplo : Velocidad, Fuerza, Aceleración
Norma
Ángulos directores de un vector
Vectores unitarios
Expresión Algebráica de un vector
Propiedades de los vectores
Operaciones básicas con vectores
Vectores Base
Producto punto de vectores
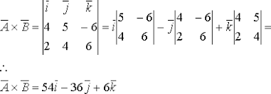
Producto cruz
Matriz
Tipos de matricces
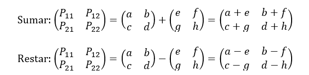
Operaciones con matrices
operaciones elementales sobre matrices.
Matriz Inversa
Matriz Traspuesta
Multiplicación
Determinantes de una matriz
Propiedades de los determinantes
Media attachments
Modulovector (image/png)
Cosenos Directores (image/jpeg)
Vector Unitario (image/jpeg)
Elementos De Un Vector (image/jpeg)
9805269 Orig (image/gif)
Base Graf (image/gif)
Maxresdefault (image/jpeg)
Images?Q=Tbn:A Nd9 Gc Tyv Zp2 Bti Xqqyw Axj Xh6 G2 Nsjx Xi Ks Kir Zpg&Usqp=Cau (image/png)
Images?Q=Tbn:A Nd9 Gc Tyv Zp2 Bti Xqqyw Axj Xh6 G2 Nsjx Xi Ks Kir Zpg&Usqp=Cau (image/png)
Tipos De Matrices 9 638 (image/jpeg)
Suma Y Resta De Matrices (image/png)
I Br2 Zy Ce Pp Bi4 Wtzh4oevdm Qll Knv Db Nh E1 V6f Rbv Y Mye Gyx H64 O8 M96i5 R Vb Ts1ay1ng C Gt Dp9 X2 Kier2n S Rz Bo Be7 D Wq Lasw9m Yfbt5h0726cjlf Du Kgan Tod Dt Gr N Rh W7 L Vi J03 Y Hbw (image/gif)
Maxresdefault (image/jpeg)
Maxresdefault (image/jpeg)
Elemental (binary/octet-stream)
Maxresdefault (image/jpeg)
Traspuesta (image/png)
T7fsz Tage Sks62 Bom2 Qz7 T Cmbe Nd Nh Sn Hfklls Tp K Ytht61c2q7m R Qvvd H4 Yg D1ti Kx0 Niz Fgf9 K Z3 Tw Llva Tn Cz Gtd4ht3b Oam9d Bsww14 A (image/png)
Prop+Det (binary/octet-stream)
Vec (binary/octet-stream)
Show full summary
Hide full summary
Want to create your own
Mind Maps
for
free
with GoConqr?
Learn more
.
Similar
Browse Library