MODELOS DE TRANSPORTE

Description

Mind Map on MODELOS DE TRANSPORTE, created by martikdussan on 27/10/2013.
martikdussan
Mind Map by martikdussan, updated more than 1 year ago
martikdussan
Created by martikdussan over 12 years ago
24
0

Resource summary

MODELOS DE TRANSPORTE
  1. CONDICIONES
    1. fuentes o punto de mercancía (m)
      1. disponibilidad ai unidades de producto homogéneo
      2. destinos (n)
        1. disponibilidad a i unidades de producto homogéneo
        2. costo de transportar una unidad de producto de la fuente i al destino j. (C)
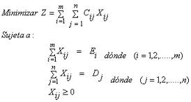
        3. OBJETIVO
          1. desarrollar un programa que cumpla con todas las demandas partiendo de un inventario conocido con un costo total mínimo
          2. CONSIDERACIONES
            1. minimizar el costo total de transporte.
              1. Los costos asociados son una función lineal del número de unidades transportadas
                1. disponibilidades y requerimientos deben ser expresadas en unidades homogéneas
                  1. Los costos de transporte por unidad no varían con la cantidad de producto transportado
                    1. La demanda o requerimientos debe ser igual a la disponibilidad
                      1. Los elementos componentes del modelo deben ser expresados en el mismo periodo de tiempo
                      2. FORMULACION
                        1. METODOS
                          1. algoritmos basicos
                            1. De la esquina nor-oeste
                              1. Asignar el cuadro de la esquina superior izquierda (Noroeste) el valor de la demanda de la primera columna, enseguida, se ajusta el valor de la oferta restando la cantidad inicialmente asignada (según la oferta disponible)
                                1. Descartar los renglones a los que no se puede asignar más demanda y continuar con la fila siguiente u origen
                                  1. Siempre se avanza al cuadro de la derecha o al inferior si la columna está completa
                                  2. Costo menor
                                    1. se centra en las rutas más económicas
                                      1. Empieza por asignarle el valor más alto posible respecto a la demanda a la casilla que tenga el valor de transporte más bajo
                                        1. Una vez satisfecha la demanda u oferta se procede a tachar la fila o columna que está satisfecha o saturada
                                          1. se busca el costo más bajo de los cuadros no tachados o disponibles repitiendo el paso anteriormente descrito
                                          2. Vogel o Vam
                                            1. Russell
                                              1. Determinar la penalidad para cada fila y columna
                                                1. Una vez calculado todas las penalidades se escoge la columna o fila de la tabla con la mayor penalidad
                                                  1. Una vez calculado todas las penalidades se escoge la columna o fila de la tabla con la mayor penalidad
                                                    1. Se elimina o no es tenida en cuenta la columna o la fila con la mayor penalidad de los procesos posteriores
                                                  2. Modelo Hungaro
                                                  Show full summary Hide full summary

                                                  Similar