ELECTROSTÀTICA

Description

mapa mental
almaro-28
Mind Map by almaro-28, updated more than 1 year ago
almaro-28
Created by almaro-28 over 10 years ago
14
0

Resource summary

ELECTROSTÀTICA
  1. Rama de la fìsica que se encarga de estudiar las cargas estàticas, es decir, las interacciones entre cargas en reposo
    1. CARGA ELECTRICA
      1. Propiedad de la materia que se manifiesta como atracciòn o repulsiòn de dos cuerpos por acciòn de fuerzas generadas en sus superficies
        1. Son de dos tipos: Positiva o vìtrea y negativa o resinosa
      2. CONDUCTORES
        1. Son sustancias que poseen electrones libres en su interior y permiten el desplazamiento de cargas elèctricas a travès de ellas (sales, àcidos,metales,bases)
        2. AISLADORES
          1. los electrones de cualquier àtomo estàn fuertemente ligados y no tienen libertad de moverse por todo el cuerpo (caucho,vidrio,madera seca)
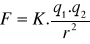
          2. FUERZA ELECTROSTATICA
            1. Es la fuerza entre dos cuerpos cargados que se encuentran a una distancia r.
            2. LINEAS DE FUERZA
              Show full summary Hide full summary

              Similar

              Guía no. 5: Electrostática: la energía eléctrica
              Nelson Rodríguez
              Electrostática
              Salomon Ramirez Toral
              Comprendes las leyes de la electricidad
              Jesús Manuel Escobedo Figueroa
              ELECTROSTÁTICA: LA CARGA ELÉCTRICA
              Diego Santiago
              Energia
              fajardoa008
              BASES DE LA TEORIA ATOMICA MODERNA
              Tatiana Ascencio
              Aplicación Electrostática
              Pedro Jara González
              Electrostática
              Lorena Pagella
              Electromagnetismo
              Esteban Tarazona