Logistic Regression Model (Applied Logistics Regression (2013) Hosmer David )

Description

Logistic Regresion Models
karlagape17
Mind Map by karlagape17, updated more than 1 year ago
karlagape17
Created by karlagape17 over 10 years ago
31
0

Resource summary

Logistic Regression Model (Applied Logistics Regression (2013) Hosmer David )
  1. The Multiple Logistic Regression Model
    1. INTRODUCTION
      1. ability to handle many variables
      2. MODEL
        1. TESTING THE MODEL
          1. univariable Wald test statistics
        2. Simple
          1. INTRODUCTION
            1. outcome variable is discrete, binary or dichotomous.
              1. Example 1 Excel-Star
                1. Follow Logistic distribution
                  1. logistic regression model
                    1. Summary:
                      1. 1. The model for the conditional mean of the regression equation must be bounded between zero and one. 2. The binomial, not the normal, distribution describes the distribution of the errors and is the statistical distribution on which the analysisis based
                    2. FITTING THE LOGISTIC REGRESSION MODEL
                      1. maximum likelihood.
                        1. the method yields values for the unknown parameters that maximize the probability of obtaining the observed set of data. In order to apply this method we must first construct a function, called the likelihood function
                          1. The maximum likelihood estimators of the parameters are the values that maximize this function
                      2. TESTING FOR THE SIGNIFICANCE OF THE COEFFICIENTS
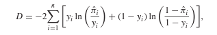
                        1. The statistic D is called the deviance, and for logistic regression, Is the same as the sum-of-squares in linear regression
                        2. CONFIDENCE INTERVAL ESTIMATION
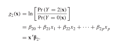
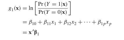
                        3. Multinomial and Ordinal Outcomes
                          1. nominal with more than two levels
                            1. discrete choice model
                              1. The variable has three levels A,B or C is chosen.Possible covariates might include gender,age,income,family size,and others.
                                1. multinomial ,polychotomous, or polytomous logistic regression
                              2. Model
                                1. p covariates and a constant term, denoted by the vector x,of length p+1,where x0=1.
                              3. Interpretation of the Fitted Logistic Regression Model
                                Show full summary Hide full summary

                                Similar