null
US
Sign In
Sign Up for Free
Sign Up
We have detected that Javascript is not enabled in your browser. The dynamic nature of our site means that Javascript must be enabled to function properly. Please read our
terms and conditions
for more information.
Next up
Copy and Edit
You need to log in to complete this action!
Register for Free
3293609
Campo Elétrico (E)
Description
ENEM Fisica Mind Map on Campo Elétrico (E), created by lucas curcio on 27/08/2015.
No tags specified
fisica
campo elétrico
fisica
enem
Mind Map by
lucas curcio
, updated more than 1 year ago
More
Less
Created by
lucas curcio
over 10 years ago
184
7
0
Resource summary
Campo Elétrico (E)
Região em que aparece forças elétricas
Toda Carga cria C.E.
C.E. é grandeza vetorial
vetor C.E.
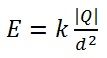
Intencidade
E=(k.|q|) / d²
Direção e Sentido
Carga Positiva
vetor aponta para fora
Carga Negativa
vetor aponta para carga
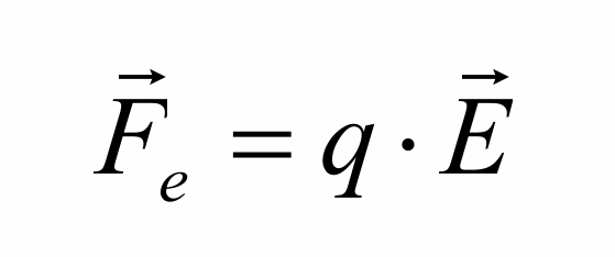
Força elétrica
F=|q|.E
Media attachments
be00355f-7a86-4a62-ae1a-3378d07d29ed (image/jpg)
22a8a651-21b4-4870-9e8e-4dcaddac42af (image/jpg)
0e88e213-b8e6-4193-8ef6-c537bbc2cb05 (image/png)
Show full summary
Hide full summary
Want to create your own
Mind Maps
for
free
with GoConqr?
Learn more
.
Similar
Leis de Newton.
GoConqr suporte .
Oscilações, ondas, óptica e radiação
Sem Parar
Cinemática Escalar: Conceitos fundamentais
Bruno Fernandes3682
Fórmulas de física
Alessandra S.
Física moderna
GoConqr suporte .
Plano de estudos ENEM - Parte 2 *Exatas/Biológicas
GoConqr suporte .
ÁTOMO
Hugo Fonseca
Simulado de física
Alessandra S.
Ondulatória
Leatrice Barros
Simulado ENEM - Ciências da Natureza
Nathalia - GoConqr
Física - Sobre Ondas
Helen Manzur
Browse Library