Colector Solar

Description

Colector solar mapa mental
zero_ori94
Mind Map by zero_ori94, updated more than 1 year ago
zero_ori94
Created by zero_ori94 over 10 years ago
25
0

Resource summary

Colector Solar
  1. Dispositivo que tiene la capacidad de calentar agua por medio de radiación solar
    1. Intercambiador de calor
      1. Extrae calor de un fluido más caliente de lo necesario, para transferirlo a otro fluido menos caliente
      2. Aplicaciones
        1. calefacción
          1. crear vapor
            1. climatizacion de piscinas
              1. desalinización
                1. esterilización
                  1. lavado
                    1. pasteurización
                    2. Componentes
                      1. Caja
                        1. vidrio
                          1. placa metálica
                            1. conductos
                            2. Colector solar de tubos evacuados
                              1. En la pared interior del tubo evacuado se sitúa una capa de color oscuro de material absorbente. Cuando la radiación solar incide sobre la capa de material absorbente se transforma en calor y eleva la temperatura del agua que está en contacto con él.
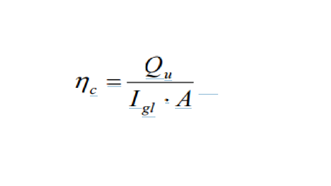
                              2. Ecuación de un colector solar plano
                                Show full summary Hide full summary

                                Similar

                                Colector Solar
                                alexismayoral04
                                Mapa mental Ecuaciones Diferenciales
                                Puppo
                                ECUACIONES DIFERENCIALES - IFER
                                Pierrette Landa
                                MatLab
                                Puppo
                                Colector solar
                                irene elizabeth_ort
                                Colectores solares
                                dora espinoza medina
                                Calentadores solar
                                Francisco Medina
                                COLECTOR SOLAR
                                victor_rico_93
                                COLECTOR SOLAR
                                Antonio Nuñez Zumaya
                                Colector Solar-IsmaelMercado
                                Ismael Mercado
                                Ecuaciones Diferenciales
                                Pierrette Landa