Sub-sistema de seguimiento

Description

Mind Map on Sub-sistema de seguimiento, created by Nicolas Angelico on 09/24/2015.
Nicolas Angelico
Mind Map by Nicolas Angelico, updated more than 1 year ago
Nicolas Angelico
Created by Nicolas Angelico over 10 years ago
22
1

Resource summary

Sub-sistema de seguimiento

Annotations:

  • Es el sub-sistema formado por métodos, técnicas y herramientas que me van a permitir evaluar el grado de adecuación, del desempeño/rendimiento de los recursos de SI/TI y RRHH, a las metas de la organización.
  1. SI/TI
    1. Técnicas de evaluación

      Annotations:

      • Se denomina técnicas de evaluación a los métodos y herramientas que permiten obtener los indices de prestaciones de un sistema que esta ejecutando una carga determinada con unos valores determinados de parámetros del sistema.
      1. Modelado

        Annotations:

        • Esta herramienta se utiliza cuando se trata de evaluar el comportamiento de un sistema en el que hay algún elemento que no esta instalado. Utilizando técnicas de simulación que reproduzcan el comportamiento y métodos analíticos para obtener algoritmos aproximados.
        1. Técnicas analiticas
          1. Estimaciones del rendimiento
            1. Algoritmos redes cerradas
              1. Algoritmos redes abiertas
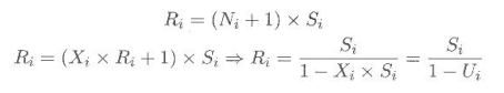
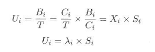
              2. Leyes operacionales

                Annotations:

                • Si observamos un dispositivo i cualquiera de un sistema informático durante un tiempo T observamos las siguientes medidas. (Ai) Numero de llegadas. (Ci) Numero de salidas. (Bi) Tiempo total en el que el dispositivo esta ocupado. De estas magnitudes podemos derivar las siguientes (λi) = Ai/T  Tasa de llegadas (Xi) = Ci/T  Productividad (Ui) = Bi/T  Utilización (Si) = Bi/Ci  Tiempo de servicio
                1. Ley del tiempo de respuesta interactivo
                  1. Ley general del tiempo de respuesta
                    1. Ley de utilización
                      1. Ley de little
                        1. Ley de flujo forzado
                        2. Estaciones de servicio

                          Annotations:

                          • Una estación de servicio es un objeto compuesto por un servidor y una cola de espera. El servidor representa a los recursos físicos del computador, mientras que la cola de espera modela la cola de trabajos que esperan recibir servicios.
                          1. Redes cerradas

                            Annotations:

                            • Son aquellas en las cuales los trabajos ni entran ni salen y, por lo tanto su numero permanece constante. Los trabajos que salen del mismo, inmediatamente regresan a el como entrada.
                            1. Redes abiertas

                              Annotations:

                              • Se caracterizan por la existencia de, al menos, una fuente de trabajos y uno o mas sumideros que absorben los trabajos que salen del sistema. Estas redes se emplean para modelar el comportamiento de sistemas que soportan cargas transaccionales. La productividad en una red abierta suele ser un dato conocido; los indices que interesan en este tipo de redes son el tiempo de respuesta y el numero de trabajos en el sistema.
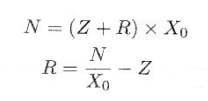
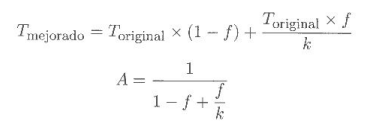
                            2. Ley de Amdahl
                              1. Rendimiento y coste
                              2. Simulacion
                              3. Benchmarking

                                Annotations:

                                • Es un método de comparación de sistemas informáticos frente a carga característica de una instalación concreta, efectuándose la comparación a partir del tiempo necesario para su ejecución.
                                1. Benchmark

                                  Annotations:

                                  • 1. Son programas utilizados para medir el rendimiento de un sistema informatico o de algunas de sus partes. 2. Conjunto de programas completos escritos en lenguaje de alto nivel extraidos de la carga real y que se consideran representativos de esta carga,
                                2. Monitorizacion

                                  Annotations:

                                  • Son herramientas de medición que permiten seguir el comportamientos de los principales elementos de un sistema informático cuando este se halla sometido a una carga de trabajo determinada.
                                  1. Monitores LAN
                                    1. Clasificación

                                      Annotations:

                                      • 1. Según su implantación a) Monitores SW: son aplicaciones del sistema operativo que aceden al estado del sistema e informan al usuario sobre dicho estado. b) Monitores HW: son dispositivos electrónicos que se conectan a determinados puntos del sistema, donde se encargan de detectar niveles o señales eléctricas que caracterizan la evolución del sistema. c) Monitores híbridos: Es cual es una combinación de las dos técnicas anteriores.   2.  Según su mecanismo de activación a) Monitores de eventos: se activan por la aparición de ciertos eventos del sistema. b) Monitores de muestreo: se activan a intervalos de tiempos fijos o aleatorios mediante interrupciones de reloj.   3. Segun su forma de mostrar resultados c) Monitores en tiempo real: consta con módulos que procesan los datos recogidos a medida que los recibe. b) Monitores batch: primero recogen la totalidad de la información y una vez terminado el periodo de recolección, se procesa dicha información.
                                      1. Estructura de un monitor
                                        1. Técnicas de observación

                                          Annotations:

                                          • a) Detección de acontecimientos: Cuando ocurre un cambio de estado del sistema el cual depende del valor de todas sus memorias. b) Muestreo: Esta técnica observa los elementos del sistema cada cierto tiempo t.
                                      2. Magnitudes

                                        Annotations:

                                        • -Consumo de tiempo. -Utilizacion de recursos o dispositivos. -Trabajos realizados por el sistema o componente.
                                        1. Sintonizacion

                                          Annotations:

                                          • Es el proceso de ajustar los distintos componentes de  un sistema informatico con el fin de mejorar las prestaciones y la eficiencia del mismo.
                                          1. Etapas estudio de prestaciones

                                            Annotations:

                                            • 1. Definicion de los objetivos. 2. Caracterizacion de la carga. 3. Seleccion de la instrumentacion de medicion. 4. Diseno del experimento. 5. Validacion de los resultados.
                                          2. Implantacion de modelo de carga

                                            Annotations:

                                            • Las fases de esta tecnica son: 1. Formulacion 2. Construccion 3. Evaluacion
                                          3. Recursos Humanos
                                            1. Auditorias

                                              Annotations:

                                              • Se encarga de analizar las políticas y practicas de evaluación del personal, y de determinar si son adecuados. Su fin es determinar el desempeño de la gestión del personal.
                                              1. Evaluación de desempeño

                                                Annotations:

                                                • Proceso de calificar la adecuación del personal de acuerdo a las normas establecidas. Es en cuanto el personal aporta a la organización, como se desarrolla y adquiere habilidades.
                                                1. Responsabilidad de la evaluación

                                                  Annotations:

                                                  • Del gerente Del empleado Del gerente y el empleado Del equipo de trabajo Del organismo de gestión de personal Del comité de evaluacion Del evaluador 360 grados
                                                  1. Métodos tradicionales

                                                    Annotations:

                                                    • Escalas gráficas Elección forzada Investigación de campo Incidentes críticos Mixto
                                                    1. Escala grafica
                                                      1. Seleccion forzada
                                                        1. Investigacion de campo
                                                          1. incidentes criticos
                                                          2. Tipos de evaluación
                                                            1. Proceso de control

                                                              Annotations:

                                                              • 1. Establecimiento de los estandares 2. Seguimiento del desempeño 3. Comparación del desempeño con los estándares 4. Aplicar acción correctiva
                                                              1. Tipos de estandares

                                                                Annotations:

                                                                • Un estándar representa el desempeño o resultado que se aceptara como normal o deseable. Los tipos de estándar son: Estándar de cantidad Estándar de calidad Estándar de tiempo Estándar de costo
                                                              2. Administracin por excepcion
                                                              3. Criterios de control

                                                                Annotations:

                                                                • Para que el proceso de control sea eficaz, debe atender los siguiente. a. El proceso debe controlar las actividades apropiadas.b. El proceso debe ser oportuno (En el momento y lugar adecuado)c. El proceso debe mantener una relacion favorable costo/beneficio.d. El control debe ser preciso.e. El control debe ser aceptado por el personal.
                                                                1. Medios de control

                                                                  Annotations:

                                                                  • Son los medios utilizados para asegurar que las personas y las situaciones permanezcan dentro de los estandares deseados. a. Jerarquia de autoridad. b. Reglas y procedimientos. c. Establecimiento de objetivos. d. Sistemas de informacion verticales (ascendente/descendente). e. Relaciones laterales. f. Organizacion matricial
                                                                Show full summary Hide full summary

                                                                Similar