ESTADÍSTICA

Description

Mireia Manuel, Jordi Bonet, Sergi Briansó i Pilar Díez
Maria Pilar Díez Fontanet
Mind Map by Maria Pilar Díez Fontanet, updated more than 1 year ago
Maria Pilar Díez Fontanet
Created by Maria Pilar Díez Fontanet over 10 years ago
42
0

Resource summary

ESTADÍSTICA
  1. CONSISTEIX EN
    1. Últim pas: Obtenció de conclusions
      1. 3 pas: Anàlisi de dades
        1. 2n pas: Organització i representació de dades
          1. 1r pas: Recollida de dades
          2. CONCEPTES
            1. MOSTREIG
              1. Reunió de dades que estudiem.
              2. DADES
                1. Els valor obtinguts
                2. INDIVIDU
                  1. Elements que componen la població
                  2. MOSTRA
                    1. Conjunt de la població
                    2. VALOR
                      1. Diferents resultats que obtenim
                      2. POBLACIÓ
                        1. Conjunt d'elements estudiats
                      3. VARIABLES ESTADÍSTIQUES
                        1. VARIABLE QUALITATIVA
                          1. VARIABLE QUALITATIVA NOMINAL
                            1. Modalitats no numèriques sense ordre.
                            2. QUALITATIVA ORDINAL
                              1. Modalitats no numèriques amb ordre.
                              2. Permeten l'expressió d'una característica o qualitat
                              3. VARIABLE QUANTITATIVA
                                1. VARIABLE DISCRETA
                                  1. Pren valors aïllats.
                                  2. VARIABLE CONTINUA
                                    1. Pren valors compresos entre 2 nombres.
                                    2. S'expressa mitjançant un número
                                  3. FREQÜÈNCIES I TAULES
                                    1. Ordenació en forma de taula de les dades estadíestiques
                                      1. TIPUS
                                        1. Freqüència absoluta
                                          1. Vegades que apareix un valor
                                          2. Freqüència relativa
                                            1. Divisió entre freqüència absoluta i nombre de dades
                                            2. Freqüència acumulada
                                              1. Suma de freqüències absolutes
                                              2. Freqüència relativa acumulada
                                                1. Divisió entre freqüència acumulada i nombre de dades
                                            1. GRÀFICS ESTADÍSTICS
                                              1. Ajuda a representar la informació de les gràfiques
                                                1. VARIABLES DISCRETES
                                                  1. Diagrama de barres
                                                    1. Polígon de freqüències
                                                    2. VARIABLES CONTINUES
                                                      1. Histograma
                                                        1. Polígon de freqüències
                                                      2. MESURES
                                                        1. Posició
                                                          1. Quartils
                                                            1. Divideixen la distribució en quatre parts
                                                            2. Percentils
                                                              1. Divideixen la distribució en cent parts
                                                              2. Decils
                                                                1. Divideixen la distribució en deu parts
                                                              3. Centralització
                                                                1. Moda
                                                                  1. El valor de màxima freqüència.
                                                                  2. Mitjana
                                                                    1. Suma del valors i dividit pel nombre de dades
                                                                    2. Mediana
                                                                      1. (1,2,3,4,5,6,7,8,9) En aquest cas , 5 es la mitjana.
                                                                    3. Disperció
                                                                      1. Rang
                                                                        1. Diferència entre la major i menor de les dades
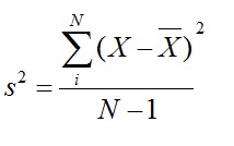
                                                                        2. Variància
                                                                          1. Mitjana aritmètica dels quadrats de les diferències de les dades amb la mitjana
                                                                          2. Desviació típica
                                                                            1. Arrel quadrada positiva de la variància
                                                                        Show full summary Hide full summary

                                                                        Similar

                                                                        MAPA MENTAL ESTADISTICA
                                                                        fidel451
                                                                        Ecuaciones Estadísticas
                                                                        Diego Santos
                                                                        BIOESTADISTICA
                                                                        Ad Card
                                                                        Cuestionarios de Probabilidad y Estadistica
                                                                        Saddy Jair Aragon Pimentel
                                                                        GRAFICOS EN ESTADISTICAS
                                                                        Adriana Cortes Barbosa
                                                                        Medidas Estadísticas Bivariantes de Regresión
                                                                        Fernando Henao Castaño
                                                                        Etapas para el inicio de una investigación estadística
                                                                        carlos taramuel
                                                                        Las ventajas y desventajas de la investigación cualitativa
                                                                        Olga sofia Gonzalez
                                                                        PROBLEMÁTICA AMBIENTAL
                                                                        Edison Andres Pinto Forero
                                                                        METODOS PROBABILISTICOS
                                                                        duvan heavy
                                                                        PRUEBA DE ESTADÍSTICA GRADO SEPTIMO
                                                                        jennydaza28