null
US
Sign In
Sign Up for Free
Sign Up
We have detected that Javascript is not enabled in your browser. The dynamic nature of our site means that Javascript must be enabled to function properly. Please read our
terms and conditions
for more information.
Next up
Copy and Edit
You need to log in to complete this action!
Register for Free
3943977
Formula general
Description
ahvdjav jauda vdaj dvyavd
No tags specified
mate
historia
general
Mind Map by
Aranza Lizbeth F
, updated more than 1 year ago
More
Less
Created by
Aranza Lizbeth F
about 10 years ago
18
1
0
Resource summary
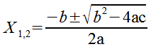
Formula general
Resuelve ecuaciones de segundo grado
Saca raíces y ceros "0"
Pasos
Paso 1
Sustituir valores de A, B, C en la formula
Paso 2
Seguir la jerarquía de operaciones
Ejercicio
3x^2-5x-2=0
A=3, B=-5, C=-2
X1, X2 = (5+- √25+24)/6
x1=5+7/2
x2=5-7/6
Paso 3
Sacar X1 y X2
Media attachments
c529aca5-321e-4c5b-ad8c-ea3d871eb9fc (image/png)
f2453b89-f8a2-44c1-ba66-17c1e2136b71 (image/jpg)
Show full summary
Hide full summary
Want to create your own
Mind Maps
for
free
with GoConqr?
Learn more
.
Similar
Arte Egipcio
maya velasquez
Historia Contemporánea: Los fascismos
María Salinas
Primera Guerra Mundial
Diego Santos
LA EDAD MEDIA - EDUpunto.com
EDUpunto Por: Ernesto De Frías
Historia de la Ética
hectorleyva
La crisis del antiguo régimen (RESUMEN)
Marina García Chip
La Guerra Fría y la formación del mundo bipolar
Maitane Gajate
Arte en el siglo XX
Rafael Cardozo
Independencia de los paises latinoamericanos
Estefani Tretto
Historia Argentina
Nicolas Ñancucheo
Guerra civil española
Saul Barrios Guz
Browse Library