null
US
Sign In
Sign Up for Free
Sign Up
We have detected that Javascript is not enabled in your browser. The dynamic nature of our site means that Javascript must be enabled to function properly. Please read our
terms and conditions
for more information.
Next up
Copy and Edit
You need to log in to complete this action!
Register for Free
4102751
RECTA
Description
Tarea
No tags specified
tarea
matematicas
trabajo
Mind Map by
Albers Salas
, updated more than 1 year ago
More
Less
Created by
Albers Salas
about 10 years ago
16
0
0
Resource summary
RECTA
ANGULOS
CENTRAL
INSCRITO
INTERIOR
EXTERIOR
SEMIINSCRITO
Conjunto de puntos del plano que esta a una distancia constante de un punto fijo
FORMADO POR
Cuerda
Diametro
Arco
Radio
Centro
POSICIONES RELATIVAS
FORMULAS
Ecuacion General
Distancia entre 2 puntos
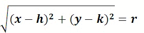
Euacion Canonica
Longitud de unaCircunferencia
L=π.d
Media attachments
7953c38b-564d-430a-9369-dd50815e74ce (image/png)
52634066-16eb-4c23-83da-ddb7b02e938b (image/png)
d3101177-7f48-4b5a-aaee-80ec60dca67a (image/png)
bd7cdb7e-ac6f-4ac1-8235-82cfabc0a925 (image/png)
4d88e4ed-a9f8-4ffe-ab95-302e9680bfa0 (image/png)
39584cb3-0fc1-4c8f-a2ac-34e65c3793eb (image/png)
072ca2cc-5132-42ab-89f8-308d13f3a685 (image/jpg)
39fe8d94-34bd-4d00-a0ea-61b07945443f (image/jpg)
10051549-1ceb-4947-a810-3da228d693f3.gif (image/gif)
a283df8a-4b6f-416b-81b0-fcf8a0fc6611 (image/jpg)
Show full summary
Hide full summary
Want to create your own
Mind Maps
for
free
with GoConqr?
Learn more
.
Similar
Sucesiones Aritméticas
Elaine del Valle
Aplicaciones de las derivadas
Marta Arroyo
EXAMEN DE MATEMÁTICAS 1ER GRADO SECUNDARIA 5to Bim
FELIPE SOLTERO
Ecuaciones Estadísticas
Diego Santos
Matemáticasen la VidaCotidiana
Diego Santos
FRACCIONES...
JL Cadenas
Ejemplos de Preguntas de Pensamiento Analítico
Raúl Fox
OPERACIONES CON POLINOMIOS
Leticia Pérez Nicolás
FRACCIONES...
Ulises Yo
Números Racionales - Parte 1
Samuel Campos Cid
Tablas (1) del 0, 1, 2, 3, 4, 5, 6, 7, 8, 9 y 10
Miguel Greciano
Browse Library