null
US
Sign In
Sign Up for Free
Sign Up
We have detected that Javascript is not enabled in your browser. The dynamic nature of our site means that Javascript must be enabled to function properly. Please read our
terms and conditions
for more information.
Next up
Copy and Edit
You need to log in to complete this action!
Register for Free
4359596
CAMPO GRAVITATORIO
Description
mapa mental fisica
No tags specified
campogravitatorio
fisica
gravitacion
mapa mental
Mind Map by
NereaAgudo
, updated more than 1 year ago
More
Less
Created by
NereaAgudo
about 10 years ago
95
0
0
Resource summary
CAMPO GRAVITATORIO
Alteración de las propiedades del espacio alrededor de una masa
Medido por la intensidad de campo
R: radiovector g: fuerza que esufre la masa en un punto del campo.
Representación gráfica
Líneas de campo
Consecuencia: Mov. Curvilíneo
Dinámica
Magnitudes
Aceleracion normal
Cambio en la dirección de la velocidad
Aceleración tangencial
Cambio en el módulo de la velocidad
Momento angular (L⃗ )
L⃗ = r⃗ × p⃗
r⃗ : vector de posición p⃗ : momento lineal
Causa que lo produce
Momento de las fuerzas
Teorema del Momento Angular
Para M=0 el momento angular es constante
Leyes de Kepler
1º: La Tierra sigue una orbita elíptica con el Sol como un foco
2ª: Los vectores de posición de los planetas barren áreas iguales en tiempos iguales.
3ª:Los cuadrados de los tiempos de revolución son proporcionales a los cubos de los semiejes mayores de las órbitas
La cte es igual. para los planetas que orbitan en torno al mismo astro
Ley de Gravitación Universal de Newton
Universal, se cumple en cualquier situuación.
La fuerza es opuesta al sentido del radiovector
Principio de superposición
La fuerza que ejerce un cuerpo sobre otro es independiente de la que ejercen los demás.
Carácter Conservativo
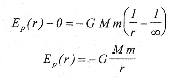
Energía Potencial
(La energía potencial se hace 0 en el infinito)
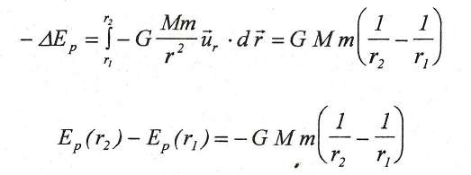
Variación
Potencial gravitatorio
Media attachments
bfa15593-6e72-44e0-8874-24823d1f3e92.GIF (image/GIF)
0a67a90c-05da-49c1-83f1-04da9d372c65 (image/jpg)
53e0b574-acb8-49c5-a9e9-e986ec6ebba4.gif (image/gif)
cab940fc-0c8d-440f-a307-cf1ca6cee102.gif (image/gif)
47392447-8ecd-4e51-9cf6-9dd7969c33fc.gif (image/gif)
f0a1fc4c-dc27-48fc-8f53-d295acb2a8e8 (image/png)
7d161fd2-3277-4d03-a5c3-c422e6979197 (image/jpg)
c97168da-a5de-4319-b861-7265e862a67a (image/jpg)
32120b05-227b-4cbd-9590-818559572b38 (image/jpg)
5be5fbc8-ac8f-42a7-9f6b-cce54036da9b (image/png)
21aecc3a-f32a-424c-9930-07f9c86eca8a (image/png)
688e7d07-40a1-4c52-be05-c2d48100e440.gif (image/gif)
15a14bb6-f4c3-49e3-9270-6b3faa9e4519 (image/jpg)
b3971750-0333-4b37-be59-1f808a9d826d.gif (image/gif)
dc815b7c-9bc6-4ee0-8b25-5f38ba1cd941.gif (image/gif)
cd3506f1-8093-4ace-8a80-09d88d6201b5 (image/jpg)
b6adaf4f-7058-4077-a0b1-0fa536a53bf0 (image/jpg)
989f794a-5927-42a9-9423-3dfa3d6ca125 (image/png)
d0e13c86-628f-4fbe-813a-83d5a604d871 (image/png)
ad637920-dad2-4df7-8aab-e9d99f071dc0.PNG (image/PNG)
Show full summary
Hide full summary
Want to create your own
Mind Maps
for
free
with GoConqr?
Learn more
.
Similar
Método científico
Carlos Eduardo Solano González
Cinemática
maya velasquez
La Ley de la Gravedad
maya velasquez
Segunda Ley de la Termodinámica
Virginia León
ONDAS
ROSA MARIA ARRIAGA
Fuerzas, leyes de Newton y ley de la gravitacion universal.
Omar Vazquez Flores
Mapa Mental Fisica
Daniela QuinTero
Métodos gráficos para sistemas de fuerzas
Andres Alberto Dranuta
FUENTES DE ENERGÍA
Alba Guzman
Ramas de la hidráulica
johanna jimenez
ELECTROMAGNETISMO
sanli_marzer
Browse Library