null
US
Sign In
Sign Up for Free
Sign Up
We have detected that Javascript is not enabled in your browser. The dynamic nature of our site means that Javascript must be enabled to function properly. Please read our
terms and conditions
for more information.
Next up
Copy and Edit
You need to log in to complete this action!
Register for Free
4492621
Estadística Descriptiva
Description
Clase de Estadística para ciencias sociales
No tags specified
estadisticadescriptiva
formulas #cualitativas #cuantitativas
tecnologicotol
Mind Map by
wendy.gtz96
, updated more than 1 year ago
More
Less
Created by
wendy.gtz96
about 10 years ago
15
0
0
Resource summary
Estadística Descriptiva
Variables
Cualitativas
Nominal: Sexo/color de ojos
Ordinal: Tallas de playeras (CH,M,G)
Gráficas Cualitativas
Barras
Pastel
Tabulares
Cuantitativas
Razón: Numero de hijos
Intervalo: Temperaturas
Gráficas Cuantitativas
Puntos
Diagrama de caja
Diagrama de tallo y hojas
Histograma
Dispersión
Ojiva
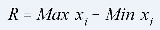
Rango :
Amplitud:
Limite inferior: Vmin-u/2
Tabulares:
Frecuencia
F.Relativa
F.Porcentual
F.R.Acomulada
F.P.Acomulada
Numerico
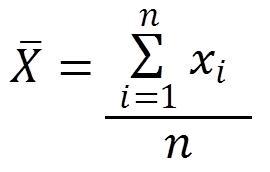
Media
Muestral
Poblacional
Mediana
Moda
Percentiles
Varianza
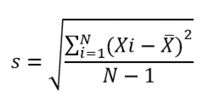
Desviasión estandar
Media attachments
b6be1100-cca8-436c-b8f7-11491a6277b5 (image/jpg)
fabe6f60-4059-4453-9190-7310dee4ecc6 (image/jpg)
ca991b30-5a44-4c2e-ba4e-21f53a0fbc7f (image/png)
f6d5df21-efc3-41cc-a65c-e6f63d66111e (image/png)
be60814c-2b4e-4cee-8df1-065492cff844 (image/png)
48aa3e8a-a7be-4131-aaa0-903bf3f695e3 (image/png)
b184edb4-e650-4676-917b-7a8d9d1fdf60 (image/png)
7d60387f-ea49-442f-be1e-0385b1ad4747 (image/png)
5ea94719-5362-4293-8c46-bfa3d5fd4be0.gif (image/gif)
0966c048-ecc8-4bbb-a5d7-fd57a0f61a86 (image/png)
a8a02a89-70e6-4567-ad38-6170fd2ec641.gif (image/gif)
661ff91a-891f-44d9-b0be-895e9f4861f0 (image/png)
1eb3ec1b-f02f-453d-82ea-f9faeaebb7b1 (image/jpg)
42691e54-79a9-4dec-a147-710dfb091054 (image/png)
3199d7b6-d15d-4e8e-9b12-fc1cb0fddb53 (image/png)
d4f46473-6d87-4d31-98a6-424f93501f93 (image/jpg)
0f2f8b7d-835f-4b0a-8d19-ccd90c8ecf28 (image/png)
a7d69713-f994-49b1-ba27-283675c22cf1 (image/png)
8142d43d-2d9a-429c-b3e8-f2a66bd12443.gif (image/gif)
Show full summary
Hide full summary
Want to create your own
Mind Maps
for
free
with GoConqr?
Learn more
.
Similar
Medidas estadísticas Bivariantes de regresión y correlación
Jaquelin Castro Godoy
Estadística Descriptiva
Jesus David Gonzalez Ortega
Medidas estadísticas univariantes
Edgar Mauricio Londoño Rodríguez
Determina si las siguientes variables son cualitativas o cuantitativas
mileon19
Estadística para Ciencias Sociales
Mariana Rosas Godínez
Variables Cuantitativas: Discretas y contínuas
mileon19
Ejercicio 3
Consultando el éxito
Ejercicio 4
Consultando el éxito
Test estadística
mperezyp
Medidas estadísticas bivariables
Edgar Mauricio Londoño Rodríguez
Medidas estadísticas Bivariantes de regresión y correlación
stiven ramos
Browse Library