Algebra Lineal

Description

subtemas de algebra lineal
Daniela perez
Mind Map by Daniela perez, updated more than 1 year ago
Daniela perez
Created by Daniela perez almost 10 years ago
24
0

Resource summary

Algebra Lineal
  1. Sistema de ecuacion lineal
    1. sistema de ecuaciones,una de ellas primer grado,definidas por un cuerpo
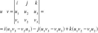
    2. Triples productos
      1. operación entre tres vectores que combina el producto escalar con el producto vectorial para obtener un resultado un escalar.
      2. producto vectorial
        1. operación binaria entre dos vectores en un espacio tridimensional.
        2. producto escalar
          1. aplicación cuyo dominio es V 2 y su codominio es K, donde V es un espacio vectorial y K el conjunto de los escalares respectivo
          2. estudia conceptos tales como vectores, matrices, sistemas de ecuaciones lineales y en su enfoque de manera más formal, espacios vectoriales y sus transformaciones lineales.
            1. Por: Talitza Daniela Perez Cosio
              1. UNADM
              Show full summary Hide full summary

              Similar

              Factorización de expresiones algebraicas_1
              Juan Beltran
              Factorización de expresiones algebraicas_2
              Juan Beltran
              Introducción al Álgebra
              Tulio Herrera
              FACTORIZACION DE POLINOMIOS
              Faber Garcia
              Sucesiones Aritméticas
              Elaine del Valle
              Aplicaciones de las derivadas
              Marta Arroyo
              EXAMEN DE MATEMÁTICAS 1ER GRADO SECUNDARIA 5to Bim
              FELIPE SOLTERO
              Matemáticasen la VidaCotidiana
              Diego Santos
              Ecuaciones Estadísticas
              Diego Santos
              Factorización de Expresiones Algebráicas
              maya velasquez
              FRACCIONES...
              JL Cadenas