null
US
Sign In
Sign Up for Free
Sign Up
We have detected that Javascript is not enabled in your browser. The dynamic nature of our site means that Javascript must be enabled to function properly. Please read our
terms and conditions
for more information.
Next up
Copy and Edit
You need to log in to complete this action!
Register for Free
5625668
FACTORIZACIÓN .
Description
mapa conceptual de temas vistos en el segundo periodo en la area de matematicas
No tags specified
tareas
deber
matematicas
Mind Map by
Nicolas Beltran5052
, updated more than 1 year ago
More
Less
Created by
Nicolas Beltran5052
over 9 years ago
28
0
0
Resource summary
FACTORIZACIÓN .
factor comun
el factor comun es que en cada grupo hay 3 medias, cada grupo tiene diferente color, pero un marca en comun
factorización de binomios
suma de potencias iguales
diferencia de cuadrados
factorización de trinomios
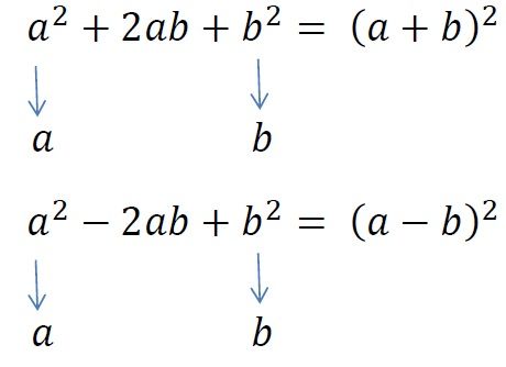
trinomio cuadrado perfecto
forma x a la 2 +10a+16
forma 3x a la 2 -5x-2
completando el cuadrado
Media attachments
515b7506-1da0-46b0-86fd-b18e8ef92299 (image/jpg)
bbb564f4-f500-46c3-8b8d-1b493838d011 (image/jpg)
8013e298-54ce-48a0-97ab-5ecc8a549fbe (image/jpg)
a110e257-0779-4051-8032-a7548c2380ac.GIF (image/GIF)
919e91f7-7308-430f-8bd0-e70628f0b8b0.GIF (image/GIF)
163e199e-436a-4fb6-adaa-446bc7f967cd (image/jpg)
d175e3b8-3ec6-4b9a-b2b2-9453cb750933 (image/jpg)
67480d3e-3402-4411-9907-2cf22a27cc68 (image/png)
0b09e811-08e2-4e18-b9d2-44f3812ba4cf (image/jpg)
338b9381-cc12-4f5f-a48b-0d664e079cab (image/jpg)
3b52c374-15f5-4c76-8edc-76c249789a86 (image/png)
8fa616c1-dfe6-406c-a810-ad8854fb60a3 (image/png)
610810e5-6ed2-4466-81b4-174684b1e9f2.GIF (image/GIF)
76c1fb94-e5b1-43c2-84ea-3576a68711c6.GIF (image/GIF)
e8b1d5f3-929c-4000-abc3-0cae10d9be75 (image/jpg)
9344ae25-b2aa-4da5-81b3-f58d2b742b8b (image/jpg)
c2cb36a9-0262-45fc-9da4-22b6c3905c9f (image/jpg)
c6be942c-2ca5-4df9-8fe1-be073db82efe (image/jpg)
a2d45391-edd3-4de0-bdfc-e18a268912a1 (image/jpg)
acbdbf7a-85e7-4c18-82f1-8f842e1edc10 (image/jpg)
965d6725-e668-4ede-ba18-e9d90de8149e.GIF (image/GIF)
5a8e3b81-a729-4a0c-991b-963de270ca62 (image/png)
ec09cc25-c63c-4f9c-86ad-c69a9410ac91 (image/png)
580cd299-95f5-4e58-be19-dff36698f2a0 (image/jpg)
eced3d3b-1c80-45f5-9c1f-226eb4c8174a (image/jpg)
cd862a6e-8dab-44ec-b77d-27e7abf4cc62 (image/png)
03df6ddd-6e39-415d-b44c-a20457eccc0c.GIF (image/GIF)
4cae5e60-b4a1-4aaa-bd8a-a4ba1286b0b0.GIF (image/GIF)
399e3f9d-4bfb-45d5-b1b0-5775281d7083 (image/png)
6707752b-5124-49c4-9dfb-8c389c526603 (image/jpg)
8d44983b-e463-4120-966d-f5c91c011a80 (image/jpg)
2070d802-cad0-4673-a990-808e56407bb2 (image/jpg)
5e361201-1db7-4391-aabb-7a45422821ce (image/jpg)
a281a28b-c208-4126-891d-dcfa3c9d9e56 (image/jpg)
45b807e5-e81e-4ee3-a177-04782ef5b29b (image/png)
b4717577-c75d-4223-b103-ff99350f8779 (image/png)
5c1e5c16-737f-45bb-9dbe-98b527e71d62 (image/jpg)
661605db-f5b3-49ba-b66b-ddc9e98912b6 (image/jpg)
3ee7d349-be8e-419f-a45c-ee235b3d6c52 (image/png)
233df09f-921c-44ea-b9bb-6273c43797e4 (image/png)
efeddfd9-30e9-4520-9dee-ab7f62b97dbb (image/jpg)
4e01568c-1649-499d-8c3a-dbab5e9ff13f (image/jpg)
d2d9c834-59d6-4b05-83e6-238dee6e9a75 (image/png)
c55b117a-ce9f-41b8-94d3-5a591a55785c (image/jpg)
b8b2c752-7c4d-4926-ad2e-d3d4dd4bcf8a (image/png)
Show full summary
Hide full summary
Want to create your own
Mind Maps
for
free
with GoConqr?
Learn more
.
Similar
Sucesiones Aritméticas
Elaine del Valle
Aplicaciones de las derivadas
Marta Arroyo
EXAMEN DE MATEMÁTICAS 1ER GRADO SECUNDARIA 5to Bim
FELIPE SOLTERO
Matemáticasen la VidaCotidiana
Diego Santos
Ecuaciones Estadísticas
Diego Santos
FRACCIONES...
JL Cadenas
OPERACIONES CON POLINOMIOS
Leticia Pérez Nicolás
Ejemplos de Preguntas de Pensamiento Analítico
Raúl Fox
Tablas (1) del 0, 1, 2, 3, 4, 5, 6, 7, 8, 9 y 10
Miguel Greciano
FRACCIONES...
Ulises Yo
Números Racionales - Parte 1
Samuel Campos Cid
Browse Library