Regresión lineal y correlación

Description

Tarea realizada por Ignacio Torres, UTE
Ignacio Torres Romero
Mind Map by Ignacio Torres Romero, updated more than 1 year ago
Ignacio Torres Romero
Created by Ignacio Torres Romero over 9 years ago
1257
0

Resource summary

Regresión lineal y correlación
  1. Un diagrama de dispersión es una herramienta gráfica para representar la relación entre dos variables
    1. La variable dependiente se representa a escala en el eje Y, y es la variable que se debe estimar
      1. La variable independiente se representa a escala en el eje X, y es la variable que se emplea como estimador
      2. El coeficiente de correlación mide la fuerza de la asociación lineal entre dos variables
        1. Las dos variables deben estar al menos en la escala de medición del intervalo
          1. El coeficiente de correlación varía desde -1.00 hasta 1.00
            1. Si la correlación entre dos variables es 0, no hay asociación entre ellas
              1. se determina si la correlación en la población es distinta de 0.
                  1. con n - 2 grados de libertad
              2. Un valor de 1.00 indica una correlación positiva perfecta, y uno de 1.00 indica una correlación negativa perfecta
                1. Un signo positivo indica que hay una relación directa entre las variables, y un signo negativo, que hay una relación inversa
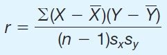
                  1. Se designa con la letra r
                  2. En el análisis de regresión, se estima una variable con base en otra variable
                    1. La variable que se estima es la variable dependiente
                      1. La variable con la cual se hace la estimación es la variable independiente
                        1. La relación entre las variables debe ser lineal
                          1. Las dos variables deben estar a escala de intervalo o de razón
                            1. Con el criterio de mínimos cuadrados se determina la ecuación de regresión
                        2. recta de regresión de mínimos cuadrados
                            1. es el valor estimado de Y para un valor seleccionado de X
                              1. a es la constante o intersección
                                1. Es el valor de Y cuando X  0
                                  1. a se calcula con la siguiente ecuación
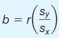
                                  2. b es la pendiente de la recta ajustada
                                    1. Muestra la cantidad de cambio de Y ante un cambio de una unidad en X.
                                      1. Un valor positivo de b indica una relación directa entre las dos variables, y un valor negativo, una relación inversa
                                        1. El signo de b y el signo de r siempre son iguales
                                          1. X es el valor de la variable independiente
                                        2. una ecuación de regresión, se prueba la pendiente para saber su significancia
                                          1. Probamos la hipótesis de que la pendiente de la recta en la población es 0
                                            1. Si no se rechaza la hipótesis nula, se concluye que no hay relación entre las dos variables
                                              1. La prueba es equivalente a la que se realiza para el coeficiente de correlación
                                              Show full summary Hide full summary

                                              Similar

                                              MUESTREO Y DISTRIBUCIONES MUESTRALES
                                              Yumary Lima Ruiz
                                              MAPA MENTAL ESTADISTICA
                                              fidel451
                                              Medidas Estadísticas Bivariantes de Regresión
                                              Fernando Henao Castaño
                                              Ecuaciones Estadísticas
                                              Diego Santos
                                              Cuestionarios de Probabilidad y Estadistica
                                              Saddy Jair Aragon Pimentel
                                              GRAFICOS EN ESTADISTICAS
                                              Adriana Cortes Barbosa
                                              Las ventajas y desventajas de la investigación cualitativa
                                              Olga sofia Gonzalez
                                              PROBLEMÁTICA AMBIENTAL
                                              Edison Andres Pinto Forero
                                              METODOS PROBABILISTICOS
                                              duvan heavy
                                              PROBABILIDAD CONDICIONAL
                                              jeslin.guevara
                                              Dato Mayor y dato menor de un conjunto de datos
                                              basilio gomez