Mancais e rolamentos

Description

Mind Map on Mancais e rolamentos, created by Matheus José on 12/07/2016.
Matheus José
Mind Map by Matheus José, updated more than 1 year ago
Matheus José
Created by Matheus José over 9 years ago
21
0

Resource summary

Mancais e rolamentos
  1. São empregados em ferramentas que ocasionem torque,sem deformar a peça
    1. Quais são os tipos de rolamento?
      1. Divididos em duas classes
        1. escorregamento
          1. Não possuem esferas
            1. possuem algum revestimento para não desgastar,geralmente material polimerico
            2. Rolamento
              1. Possuem esferas
                1. São eles:Auto alinhamento,Sulco Profundo,Contato angular e Cônico
            3. Curiosidade: em aviões, são trocados regularmente ,para garantir uma vida útil curta, mas com precisão de qualidade
              1. relacionando à outros elementos de máquina
                1. Pussui capacidade de movimento, unindo duas extremidades e permitindo rotação entre as mesmas sem desgaste, o que não ocorre com outros elementos de maquina
                2. são úteis em junções que necessitem de movimento e precisem ficar unidas ao mesmo tempo
                  1. como,por exemplo, em Motores, polias,e portas de banco
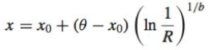
                  2. dimensionamento de vida útil
                      1. X= vida útil desejada
                        1. X0= vida útil minima
                          1. (teta)= característica correspondente à 63,2121%
                            1. R= grau de confiança
                              1. B=Curvatura no grafico
                            Show full summary Hide full summary

                            Similar