ESPACIOS VECTORIALES

Description

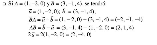
aaaaa
iva rincon
Mind Map by iva rincon, updated more than 1 year ago
iva rincon
Created by iva rincon over 9 years ago
1
0

Resource summary

ESPACIOS VECTORIALES
  1. Es aquel conjunto de vectores que cumple las propiedades o axiomas de la suma de vectores y la multiplicación por un escalar dichas propiedades vistas en espacios n-dimensiónales Rn o R2. Un espacio vectorial es un espacio no vacío.
    1. Propiedades:
      1. Elemento inverso o Identidad
        1. Elemento inverso
          1. Ley asociativa
            1. Ley conmutativa
              1. Ley de cierre
                1. al operar dos elementos el resultado debe pertenecer al conjunto asignado en la operación
                2. el orden de los elementos no altera el producto
                3. los elementos se pueden asociar sin alterar el resultado ejemplo
                4. aquel que al ser operado con cualquier elemento este debe de dar de resultado el elemento neutro de la operación =0
            2. Subespacios
              1. Combinación lineal
                1. Dependencia lineal
                  1. Conjuntos genradores
                    1. Espacios generadores
                      1. Ejemplo
                      Show full summary Hide full summary

                      Similar

                      Espacios vectoriales
                      Angelica Maria Martinez Moreno
                      Espacios vectoriales
                      Victor Rodriguez
                      Espacios Vectoriales
                      Daro Gmnz
                      Espacios vectoriales
                      Alex Hg
                      ESPACIOS VECTORIALES
                      jonathan andres loaiza galeano
                      Algebra Lineal
                      Jennifer Quintero Duque
                      ESPACIOS VECTORIALES A.L
                      Sandra Arguello
                      Espacios vectoriales
                      christian cabascango
                      Cuestionario de práctica EV
                      mauricio saenz
                      la intervención del Estado en la economía
                      winston salazar cuaicuan
                      ESPACIOS VECTORIALES
                      karen sanchez