Matemáticas Básicas (Igualdades)

Description

Breve mapa mental de igualdades y ejemplos
ANGEL GUERRERO CASTRO
Mind Map by ANGEL GUERRERO CASTRO, updated more than 1 year ago
ANGEL GUERRERO CASTRO
Created by ANGEL GUERRERO CASTRO over 9 years ago
92
0

Resource summary

Matemáticas Básicas (Igualdades)
  1. Ecuaciones Lineales

    Annotations:

    • Una igualdad, es una expresión matemática que contiene el signo igual y puede ser verdadera o falsa. Una ecuación es la igualdad entre dos expresiones algebraicas que pueden incluir una o mas variables y que solo es verdadera para determinados valores de las incógnitas. Variable: es aquella que puede tener un valor aleatorio o distinto. Constante: aquella que solo tiene un único valor y no cambia. Las expresiones separadas por el símbolo de igualdad se denominan miembros de la ecuación, el lado izquierdo es el primer miembro y el lado derecho es el segundo miembro. Los números que hacen que la ecuación sea verdadera se llaman raíces o soluciones y si estas tienen el mismo valor se llaman ecuaciones equivalentes. ejemplo 6=6 ó (x+2)(x-2)= x^2-4
    1. Algunos Ejemplos
      1. Propiedades
      2. Ecuaciones de Segundo Grado (Cuadráticas)

        Annotations:

        • Son aquellas donde la incógnita tiene como exponente mayor a 2 y se escribe de la siguiente forma: ax^2+bx+c=0 Donde a, b, y c son constantes y a es diferente de 0. A esta forma se le conoce como forma canónica ó estándar y si alguna ecuación no esta de esta manera se debe reescribir para obtener dicha forma y después se resuelve. 
        1. Solución por Factorización

          Annotations:

          • Se basa en la propiedad el producto nulo de números reales en la que, si a y b son números reales y ab=0, entonces a=0 ó b=0.
          1. Solución de una Ecuación cuadrática factorización
            1. Completando el cuadrado
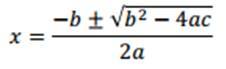
              1. Solución Por Formula General

                Annotations:

                • Empleando el método de complementar el cuadrado con la ecuación en su forma estándar, donde a y b son los coeficientes de los términos de segundo y primer grado mientras que c es el término independiente (grado cero), se obtiene la formula cuadrática. a = Coeficiente de la incógnita al cuadrado b= coeficiente de la incógnita a la potencia 1 c= Término independiente
                1. Ejemplo
              2. Ecuaciones Polinomiales de Grado Mayor a 2

                Annotations:

                • Así como hablamos de funciones polinómicas de grados 1, 2, 3, podemos considerar en general una función polinómica de grado n, donde n es cualquier número entero no negativo
                1. Solución por el Método RUFFINI

                  Annotations:

                  • Para resolver una ecuación de grado superior a 2, se suele utilizar el método de descomposición por factores empleando la REGLA DE RUFFINI. Dicha regla es un método de división de un polinomio de la forma (ver imagen)
                2. Ecuaciones Especiales y Ecuaciones Exponenciales y Logaritmicas

                  Annotations:

                  • Una fracción algebraica es el cociente indicado de dos expresiones algebraicas. Se puede expresar como  Ver imagen  Las propiedades y operaciones de las fracciones aritméticas también se aplican a las algebraicas dado que éstas representan números reales
                  1. Simplificación de fracciones algebraicas

                    Annotations:

                    • La simplificación o reducción de fracciones algebraicas consiste en cambiar su forma sin cambiar su valor, expresandola en sus términos mínimos. Para simplificar una fracción algebraica debe convertirse en una fracción equivalente, factorizando completamente tanto su numerador como su denominador (factores primos) y cancelando los factores comunes a ambos, si los hubiera.
                    1. Multiplicación de fracciones algebraicas

                      Annotations:

                      • Para realizar la multiplicación de dos o más fracciones algebraicas, se inicia descomponiendo en factores los términos de las fracciones a multiplicar (numeradores y denominadores) y suprimiendo los factores comúnes (simplificar cada fracción). Las fracciones equivalentes resultantes se multiplican de la misma forma que las fracciones aritméticas.
                      1. División de fracciones algebraicas

                        Annotations:

                        • La regla para dividir fracciones algebraicas es multiplicar el dividendo por el inverso del divisor y seguir los principios de la multiplicación de fracciones algebraicas antes vistos.
                        1. Suma y Resta de fracciones algebraicas

                          Annotations:

                          • Para sumar o restar fracciones homogéneas se suman o restan sus numeradores y el resultado se divide entre el denominador común, reduciéndose la expresión en caso de que sea posible.  
                    2. Ecuaciones Logarítmicas

                      Annotations:

                      • El logaritmo de un número es igual al exponente al que tiene que estar elevada la  base del logaritmo para obtener dicho número.     
                      1. Ecuaciones Exponenciales

                        Annotations:

                        • Las ecuaciones exponenciales son aquellas donde la incógnita se encuentra en el  exponente. Por ejemplo ver imagen.
                    Show full summary Hide full summary

                    Similar

                    Sucesiones Aritméticas
                    Elaine del Valle
                    Aplicaciones de las derivadas
                    Marta Arroyo
                    EXAMEN DE MATEMÁTICAS 1ER GRADO SECUNDARIA 5to Bim
                    FELIPE SOLTERO
                    Matemáticasen la VidaCotidiana
                    Diego Santos
                    Ecuaciones Estadísticas
                    Diego Santos
                    FRACCIONES...
                    JL Cadenas
                    OPERACIONES CON POLINOMIOS
                    Leticia Pérez Nicolás
                    Ejemplos de Preguntas de Pensamiento Analítico
                    Raúl Fox
                    Tablas (1) del 0, 1, 2, 3, 4, 5, 6, 7, 8, 9 y 10
                    Miguel Greciano
                    FRACCIONES...
                    Ulises Yo
                    Números Racionales - Parte 1
                    Samuel Campos Cid