Efecto Doppler

Description

fisica
Melory Dayana Guerrero Lombana
Mind Map by Melory Dayana Guerrero Lombana, updated more than 1 year ago
Melory Dayana Guerrero Lombana
Created by Melory Dayana Guerrero Lombana over 9 years ago
179
0

Resource summary

Efecto Doppler
  1. Este es
    1. llamado así por el físico austríaco Christian Andreas Doppler, es el aparente cambio de frecuencia de una onda producido por el movimiento relativo de la fuente respecto a su observador.1
    2. Su descubrimiento
      1. Doppler propuso este efecto en 1842 en su tratado Über das farbige Licht der Doppelsterne und einige andere Gestirne des Himmels (Sobre el color de la luz en estrellas binarias y otros astros). El científico neerlandés Christoph Hendrik Diederik Buys Ballot investigó esta hipótesis en 1845 para el caso de ondas sonoras y confirmó que el tono de un sonido emitido por ondas
      2. Generalidades
        1. con respecto al medio son inferiores a la velocidad de las ondas en el propio medio, la relación entre la frecuencia observada f y la frecuencia emitida f viene dada por:6
        2. Situsónica y supersónicaación estacionaria, subsónica,
          1. Una fuente de audio fija produce ondas de sonido a una frecuencia constante f, y los frentes de onda se propagan de forma simétrica alejándose de la fuente a una velocidad constante
            1. La misma fuente de sonido está irradiando ondas de sonido a una frecuencia constante en el mismo medio. Sin embargo, ahora la fuente de sonido se mueve con una velocidad de υs = 0.7 c (Mach 0,7).
              1. Ahora la fuente se está moviendo a la velocidad del sonido en el medio (υs = c, (es decir, a Mach 1). Los frentes de onda enfrente de la fuente están ahora todos acumulados en el mismo punto.
                1. La fuente de sonido ya ha superado la velocidad del sonido en el medio, y se desplaza a 1,4 c (Mach 1.4). Puesto que la fuente se está moviendo más rápido que las ondas de sonido que crea, lo que realmente hace es dirigir el frente de ondas a medida que avanza.
                2. Casos
                  1. Foco en reposo y observador en movimiento
                    1. Si el foco emisor de ondas está en reposo, la frecuencia aparente o frecuencia percibida por un receptor en movimiento aumentará cuando el receptor se aproxime al foco y disminuirá cuando se aleje según la expresión:
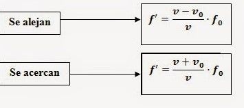
                    2. Fuente en movimiento y receptor en reposo
                      1. Si la fuente se aleja respecto a nosotros, cada pulso nos llega desde más lejos que el anterior, por lo que la longitud de onda aumentará de esta forma:
                      2. Casos de que los dos están en movimiento (fuente y observador)
                        1. Si la fuente y el receptor están en movimiento con relación al medio, el efecto Doppler resultara de la combinación de los dos casos anteriores (1 y 2) Podemos realizar el cálculo de dos formas sencillas:
                          1. EJEMPLOS
                            1. supongamos de nuevo el medio es el aire y la velocidad del sonido es 340 m/s. La fuente emite una frecuencia de 440 Hz y se mueve hacia un observador en reposo con una velocidad de 30 m/s. La frecuencia de la señal que mide el receptor es
                              1. Fo=f’=340340-30=440Hz=482.5Hz
                                1. Esta frecuencia no coincide con la que se obtuvo en el apartado anterior para el caso de un observador que se acerca hacia la fuente estacionaria a esta misma velocidad.
                              2. Un tren se desplaza a 100km/h su locomotora emite un sonido de 75Hz de frecuencia. Calcula la frecuencia del sonido que percibira un observador que viaja a 50km/h y se acerca
                                1. f= 75· (340 +13,9)/(340-27,8)= 85 Hz tienes que pasar los km/h a m/s y si se alejara a la misma velocidad? f= 75· (340 -13,9)/(340+27,8)= 66,5 Hz
                                2. OTROS INVESTIGADORES
                          Show full summary Hide full summary

                          Similar

                          Efecto doppler
                          juan camilo leal rios
                          Ciencias relacionadas con la contaminación ambiental
                          karla.1.vixiimm
                          ENLACES QUIMICOS Y EL ESTADO SOLIDO. (CRISTALINO)
                          Viruel Jesus
                          REGULACION DE LA TEMPERATURA CORPORAL Y FIEBRE
                          camila rodriguez
                          Los sensores.
                          beabaena01
                          ARS NOVA
                          angie.visbal
                          Aprendizaje Basado en problemas PBL
                          JUAN JOSE ROMERO
                          Transportadores de glucosa
                          luci_24t
                          EFECTO DOPPLER
                          Richard Yela