null
US
Sign In
Sign Up for Free
Sign Up
We have detected that Javascript is not enabled in your browser. The dynamic nature of our site means that Javascript must be enabled to function properly. Please read our
terms and conditions
for more information.
Next up
Copy and Edit
You need to log in to complete this action!
Register for Free
6131452
INTERES COMPUESTO
Description
mapa mental segunda semana de la materia MATEMATICA FINANCIERA, VI SEMESTRE.
No tags specified
lida peralta
mapa mental
Mind Map by
Lyda Peraltha
, updated more than 1 year ago
More
Less
Created by
Lyda Peraltha
over 9 years ago
2561
0
0
Resource summary
INTERES COMPUESTO
Elementos que integran la tasa de interes compuesto
TIPO
TASA EFECTIVA
“verdadera tasa de interés que se obtiene de una inversión o que se incurre por un préstamo” (García, 1999:117).
TASA NOMINAL
“una tasa simple de interés a partir de la cual, y dependiendo de su condición de capitalización, se obtiene la tasa efectiva” (García 1999:117).
FORMULAS
UNIDAD
PERIODO DE PAGO
CAPITALIZACION DEL INTERES
CONDICION
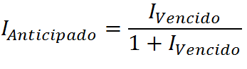
TASA ANTICIPADA
FORMULA
TASA VENCIDA
FORMULA
Media attachments
06068dbb-341d-4162-a680-3123fa6aeb72 (image/png)
675cd909-f1fb-4cb6-baec-02b848b04d0b (image/jpg)
ab398d44-75e1-4d2d-a202-ddf4d224c0cc (image/jpg)
de9c8600-42ff-46db-a511-a46d40883276 (image/jpg)
6214755f-3b21-43d0-916b-8f784c8502a7 (image/jpg)
293e26f0-9bb4-4fdb-b046-a229082455e3 (image/jpg)
53aeb803-e630-4015-9512-29ed58f7aa6c (image/png)
Show full summary
Hide full summary
Want to create your own
Mind Maps
for
free
with GoConqr?
Learn more
.
Similar
4 preguntas y respuestas de interés compuesto
JORGE CASUSOL
Explicación, Fórmula y gráfica de Interés simple e interés compuesto
Andrés Ricardo Riveros Tarazona
Matematica financiera
Rene Paredes Stave
Matemáticas Financieras
ADAMARY PACHECO MERINOS
MATEMÁTICA FINANCIERA BÁSICA
Santos Díaz
Conceptors fundamentales - interés compuesto
Claw Marincioni
Interes Compuesto
Gustavo Rodriguez Baena
Interes Compuesto
andres felipe ospina morales
Interes Compuesto
viviana granizo
Interes Compuesto
Gustavo Rodriguez Baena
Interes Compuesto
andres felipe ospina morales
Browse Library