null
US
Sign In
Sign Up for Free
Sign Up
We have detected that Javascript is not enabled in your browser. The dynamic nature of our site means that Javascript must be enabled to function properly. Please read our
terms and conditions
for more information.
Next up
Copy and Edit
You need to log in to complete this action!
Register for Free
6158228
FISICA I
Description
tarea 3
Mind Map by
Guadalupe Juarez Varela
, updated more than 1 year ago
More
Less
Created by
Guadalupe Juarez Varela
over 9 years ago
7
0
0
Resource summary
FISICA I
Movimiento Rectilíneo Uniforme
Formulas
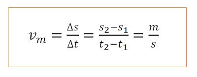
Velocidad Media
Formulas
Media attachments
984b5dde-2da0-4a23-afef-008c3104d05e (image/png)
16badccd-1cd0-42b0-a261-47760ab649bf (image/png)
0ad89c2f-7abb-46b4-866d-fadfcee228d2 (image/jpg)
3368927d-e56c-45b3-8c00-e59127717e5d (image/jpg)
b7c694ab-6643-4ded-a87b-85b0bd8006f6 (image/jpg)
7af7c850-da00-43e9-8a18-29f211341c30 (image/jpg)
f75af445-0bd5-4e01-95a8-c91792700ec9 (image/jpg)
baf8a080-0285-46f4-ad86-829217881a16 (image/png)
ff5e884e-9873-441f-9799-a9be9a41b9cc (image/jpg)
f51261e1-f7ef-4627-8570-7dba3035ca4c (image/png)
27a22e6b-6783-4d32-9f4c-8ddcec5f3877 (image/jpg)
Show full summary
Hide full summary
Want to create your own
Mind Maps
for
free
with GoConqr?
Learn more
.
Similar
Browse Library