null
US
Sign In
Sign Up for Free
Sign Up
We have detected that Javascript is not enabled in your browser. The dynamic nature of our site means that Javascript must be enabled to function properly. Please read our
terms and conditions
for more information.
Next up
Copy and Edit
You need to log in to complete this action!
Register for Free
6320566
INSERCIÓN
Description
MAPA INSERCIÓN
No tags specified
h1
h2
h3
Mind Map by
DANIEL GARCIA ROMERO
, updated more than 1 year ago
More
Less
Created by
DANIEL GARCIA ROMERO
over 9 years ago
27
0
0
Resource summary
INSERCIÓN
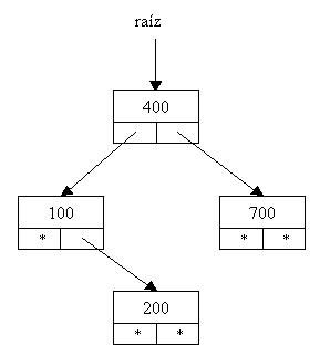
Cuando añadimos nuevos registros a la estructura.
Necesitamos un puntero auxiliar para conservar una referencia al padre del nodo raíz actual. El valor inicial para ese puntero es NULL.
Padre = NULL
nodo = Raiz
Bucle: mientras actual no sea un árbol vacío o hasta que se encuentre el elemento.
Si el valor del nodo raíz es mayor que el elemento que buscamos, continuaremos la búsqueda en el árbol izquierdo: Padre=nodo, nodo=nodo->izquierdo.
Si el valor del nodo raíz es menor que el elemento que buscamos, continuaremos la búsqueda en el árbol derecho: Padre=nodo, nodo=nodo->derecho.
Si nodo no es NULL, el elemento está en el árbol, por lo tanto salimos.
Si Padre es NULL, el árbol estaba vacío, por lo tanto, el nuevo árbol sólo contendrá el nuevo elemento, que será la raíz del árbol.
Si el elemento es menor que el Padre, entonces insertamos el nuevo elemento como un nuevo árbol izquierdo de Padre.
Si el elemento es mayor que el Padre, entonces insertamos el nuevo elemento como un nuevo árbol derecho de Padre.
Media attachments
60442de6-0b6e-4be5-bc18-c6bbabb004cd (image/png)
8f550ab4-83d6-4985-b60f-56065e60afb8 (image/jpg)
2309ea13-3403-4cdd-b903-08b4e958fbb7 (image/png)
a960dae7-39ae-4b28-8adf-2d745f73ed17 (image/jpg)
226711ee-12d5-4ef0-a89c-6973e5dc938b (image/jpg)
Show full summary
Hide full summary
Want to create your own
Mind Maps
for
free
with GoConqr?
Learn more
.
Similar
Diapositivas de Diseño gráfico, evolución y tendencias
Samantha Molina Vega
Diseño gráfico, evolución y tendencias - APUNTE
escandoncb
Diseño gráfico, evolución y tendencias
Samantha Molina Vega
PRESENTACIÓN EN GOCONR
weownthenigh
Eliminacion de un nodo
LUIS FERNANDO RUIZ GARCIA
test de Diseño gráfico, evolución y tendencias
Samantha Molina Vega
Notación algoritmica
Jenni' Burbujeante
factores culturales que afectan las operaciones de los negocios internacionales
JOHANA HERNANDEZ
EL LIBRO Y SUS PARTES
A14N 3URT0N
Técnicas de recopilación.
onlyhyuk8
Diapositivas de Correcion y edicion de fotografia
efrainska
Browse Library