DISTRIBUCIONES DE PROBABILIDAD

Description

Mind Map on DISTRIBUCIONES DE PROBABILIDAD, created by Ivan Melo on 09/26/2016.
Ivan Melo
Mind Map by Ivan Melo, updated more than 1 year ago
Ivan Melo
Created by Ivan Melo over 9 years ago
4
0

Resource summary

DISTRIBUCIONES DE PROBABILIDAD
  1. PODEMOS ENCONTRAR
    1. BINOMIAL
      1. EN ESTE EXPERIMENTO SOLO PUEDEN DARSE DOS POSIBILIDADES, EXITO O FRACASO.
        1. LA OBTENCION DE EXITO O FRACASO EN CADA OCASION ES INDEPENDIENTE A LA OBTENCION DE EXITO O FRACASO EN LAS DEMAS OBTENCIONES.
          1. LA OPORTUNIDAD DE QUE SEA EXITO O FRACASO SIEMPRE ES LA MISMA EN CADA OCASION
            1. EJEMPLOS
              1. NUMERO DE CARAS AL LANZAR 20 VECES UNA MONEDA
                1. NUMERO DE APROBADOS SI SE PRESENTAN 80 ALUMNOS A UN EXAMEN
                  1. NUMERO DE FAMILIAS CON UN SOLO HIJO EN UNA POBLACION DE 120 FAMILIAS
                    1. N: ES EL NUMERO DE PRUEBAS
                      1. K: ES EL NUMERO DE EXITOS
                        1. P: ES LA PROBABILIDAD DE EXITO
                          1. q: PROBABILIDAD DE FRACASO
        2. CARCARTERISTICAS
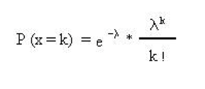
        3. POISSON
          1. SE DEFINE LA VARIABLE ALEATORIA X COMO EL NUMERO DE SUCESOS QUE OCURREN EN UN INTERVALO CONTINUIO DE TIEMPO, LONGITUD O ESPACIO, DE UN TAMAÑO DETERMINADO.
            1. EJEMPLOS
              1. NUMERO DE LEUCOCITOS EN UNA GOTA DE SANGRE
                1. NUMERO DE BACTERIAS NOCIVAS POR CADA CM3 DE AGUA
                  1. EL NUMERO e ES 2,71828
                    1. I=n*p (EL NUMERO DE VECES n QUE SE REALIZA EL EXPERIMETNO MULTIPLICADO POR LA PROBABILIDAD p DE EXITO EN CADA ENSAYO
                      1. K ES EL NUMERO DE EXITO CUYA PROBABILIDAD SE ESTA CALCULANDO
            2. CARACTERISTICAS
            3. NORMAL
              1. CARACTERISTICAS
                1. ESTE MODELO ES EL MAS UTILIZADO EN LA PRACTICA PORQUE GRAN CANTIDAD DE FENOMENOS SE COMPORTAN CON ESTA DISTRIBUCION. ESTA DISTRIBUCION SE CARACTERIZA PORQUE LOS VALORES SE DISTRIBUYEN FORMANDO UNA CAMPANA DE GAUSS, EN TORNO A UN VALOR CENTRAL QUE COINCIDE CON EL VALORMEDIO DE LA DISTRIBUCION.
                  1. SE DEFINE POR DOS PARAMETROS
                    1. X: N (m, s 2)
                      1. m:ES EL VALOR MEDIO DE LA DISTRIBUCIÓN Y ES PRECISAMENTE DONDE SE SITÚA EL CENTRO DE LA CURVA EN LA CAMPANA DE GAUSS.
                        1. s 2: ES LA VARIANZA Y ESTA INDICA SI LOS VALORES ESTÁN MÁS O MENOS ALEJADOS DEL VALOR CENTRAL: SI LA VARIANZA ES BAJA LOS VALORES ESTÁN PRÓXIMOS A LA MEDIA Y SI ES ALTA, ENTONCES LOS VALORES ESTÁN MUY DISPERSOS.
                          1. CUANDO LA MEDIA DE LA DISTRIBUCIÓN ES 0 Y LA VARIANZA ES 1 SE DENOMINA "NORMAL TIPIFICADA", Y SU VENTAJA SE DA EN QUE HAY TABLAS DONDE SE RECOGE LA PROBABILIDAD ACUMULADA PARA CADA PUNTO DE LA CURVA DE ESTA DISTRIBUCIÓN.
                            1. EJEMPLO
                              1. SE SUPONE QUE LOS RESULTADOS DE UN EXAMEN SIGUEN UNA DISTRIBUCION NORMAL CON MEDIA 78 Y DESVIACION TIPICA 36. CUAL ES LA POSIBILIDAD DE QUE UNA PERSONA QUE SE PRESENTA OBTENGA 72?
              2. HIPERGEOMETRICA
                1. EN CADA ENSAYO DE LA DISTRIBUCION HIPERGEOMETRICA HAY TAN SOLO DOS POSIBLES RESULTADOS COMO EN LA DISTRIBUCION BINOMIAL, O SALE BLANCA, O NO SALE. PERO SE DIFERENCIA DE LA DISTRIBUCION BINOMIAL EN QUE LOS DISTINTOS ENSAYOS SON INDEPENDIENTES ENTRE SI.
                  1. EJEMPLOS
                    1. EN UNA URNA HAY 7 BOLAS BLANCAS Y 5 NEGRAS. SE SACAN 4 BOLAS, CUAL ES LA PROBABILIDAD DE QUE 3 SEAN BLANCAS?
                      1. N: ES EL NUMERO TOTAL DE BOLAS EN LA URNA
                        1. N1: ES EL NUMERO TOTAL DE BOLAS BLANCAS
                          1. N2: ES EL NUMERO TOTAL DE BOLAS NEGRAS
                            1. k: ES EL NUMERO DE BOLAS BLANCAS CUYA PROBABILIDAD SE ESTA CALCULANDO
                              1. n: ES EL NUMERO DE ENSAYOS QUE SE REALIZA
              Show full summary Hide full summary

              Similar

              Examen Final Estadística I
              Andres Cruz