Peroxisomas

Description

Medicina Mind Map on Peroxisomas, created by Equipo Peroxisomas on 08/10/2016.
Equipo Peroxisomas
Mind Map by Equipo Peroxisomas, updated more than 1 year ago
Equipo Peroxisomas
Created by Equipo Peroxisomas over 9 years ago
3
0

Resource summary

Peroxisomas
  1. Biogénesis
      1. Proliferación
        1. 11
        2. Síntesis ¨de novo¨
          1. 13
            1. Formación de un peroxisoma
              1. 12
      2. Patologias.
        1. Sindrome de Zellweger
          1. 4
          2. Enfermedad Infaltil de Refsum
            1. 3
              1. Acido Fitánico
            2. Adrenoleucodistrofia neonatal.
              1. 5
            3. Anatomía
              1. 9
                1. Organelos esféricos
                  1. Diámetro entre 0.1 y 1 µm
                    1. Presentan monocapa
                  2. Origen evolutivo
                    1. Endosimbiótico
                      1. 10
                      2. Por la membrana plasmática
                      3. Funciones
                        1. Beta-oxidación de ácidos grasos
                          1. 16
                          2. Catalasa
                            1. 17
                            2. Glucólisis
                              1. 19
                              2. Ciclo del glioxilato
                                1. 2
                                  1. Función presente en glioxisomas
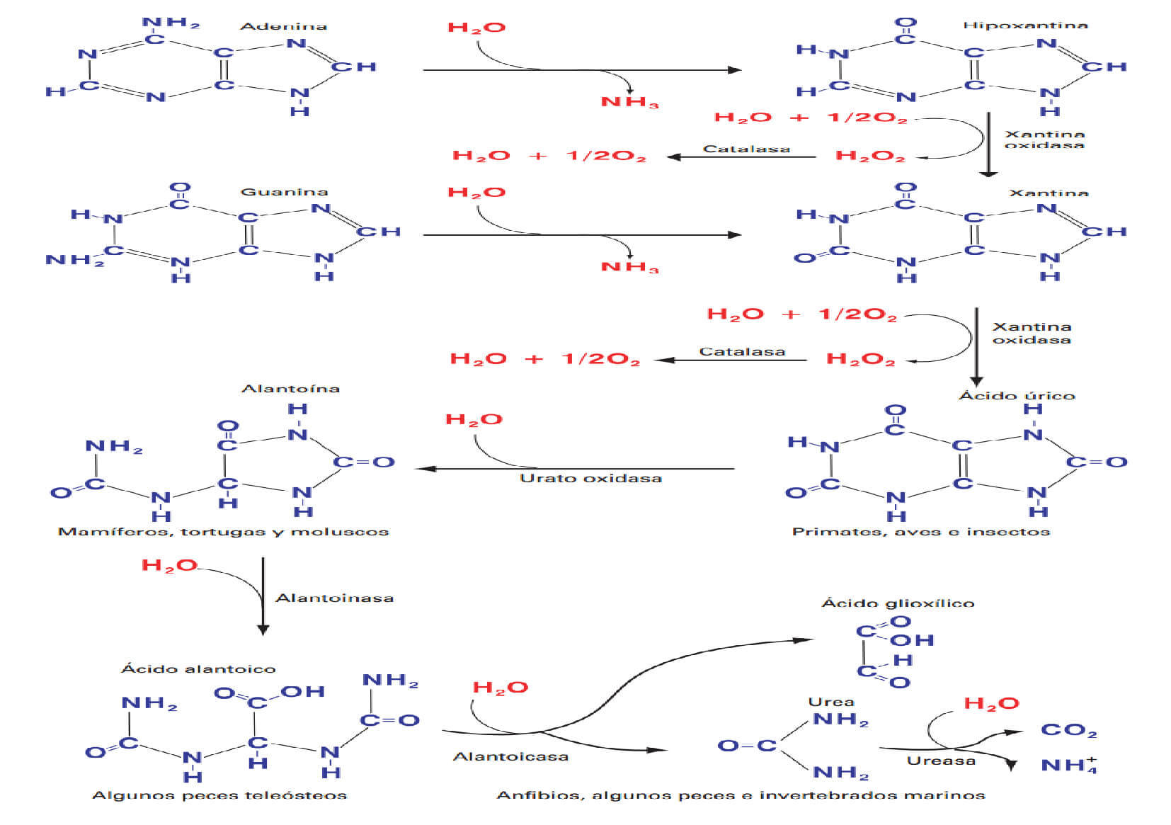
                                2. Reutilización de purinas
                                  1. 20
                                    1. Función de glucosomas
                                  2. Síntesis de isoprenoides
                                    1. 1
                                    2. Síntesis de éter-fosfolípidos
                                      1. 18
                                    3. Diversidad peroxisomal
                                      1. Dependen de sus funciones
                                        1. Peroxisomas
                                          1. 8
                                          2. Glioxisomas
                                            1. 7
                                              1. Realizan el ciclo del glioxilato
                                            2. Glucosomas
                                              1. 6
                                                1. Glucólisis y reutilización de purinas
                                          3. Realiza importacion de proteínas
                                            1. Clase I
                                              1. Postraduccional
                                                1. 14
                                              2. Clase II
                                                1. Cotraduccional
                                                  1. Proteínas de la matriz
                                                    1. 15
                                              3. Degradación selectiva o pexogafia
                                                1. Micropexofagia
                                                  1. Desarrollo de profusiones en su membrana
                                                  2. Macropexofagia
                                                    1. Sólo en peroxisomas maduros
                                                  Show full summary Hide full summary

                                                  Similar

                                                  Definiciones CARDIOLOGÍA
                                                  Vivi Riquero
                                                  T9. Enfermedades Inflamatorias
                                                  Vivi Riquero
                                                  Anatomía cabeza
                                                  Diego Santos
                                                  Fichas para oposiciones de auxiliar de enfermería
                                                  leyvamiri
                                                  Oftalmología - ENARM
                                                  Emilio Alonsooo
                                                  Hematología - ENARM
                                                  Emilio Alonsooo
                                                  Anatomía cabeza
                                                  maca.s
                                                  Infecciones Quirúrgicas
                                                  Exero
                                                  FUNDAMENTOS DE LA EMBRIOLOGÍA.
                                                  fperezartiles
                                                  Tema 15: Características del sistema respiratorio
                                                  Marlopcar López
                                                  Alergología - Práctica para el ENARM
                                                  Emilio Alonsooo