Valor presente y evaluación de costo capitalizado

Description

Mind Map on Valor presente y evaluación de costo capitalizado, created by Kenia Toledo Reyes on 10/10/2016.
Kenia Toledo Reyes
Mind Map by Kenia Toledo Reyes, updated more than 1 year ago
Kenia Toledo Reyes
Created by Kenia Toledo Reyes over 9 years ago
4
0

Resource summary

Valor presente y evaluación de costo capitalizado
  1. Evaluación de alternativas por el método del valor presente
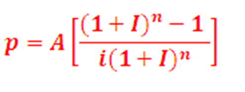
    1. Valor Presente Neto (VPN)
      1. Es el método más conocido a la hora de evaluar proyectos de inversión a largo plazo. Muy utilizado por su fácil aplicación y porque se puede ver si los ingresos son mayores que los egresos.
      2. Formulación de alternativas mutuamente excluyentes
        1. compiten entre sí durante la evaluación. Si no se considera económicamente aceptable una alternativa mutuamente excluyente, es posible rechazar todas las alternativas y aceptar el no hacer.
          1. Tipos alternativas
            1. Ingreso
              1. Servicio
              2. Para formular se categoriza en:
                1. Mutuamente excluyente: Sólo uno de los proyectos viables puede seleccionarse.
                  1. Independiente : Más de un proyecto viable puede seleccionarse
              3. Comparación de alternativas con vidas útiles iguales
                1. La comparación de alternativas que tienen vidas útiles iguales por el método del valor presente es directa. Si ambas alternativas se utilizan en idénticas condiciones para el mismo período de tiempo.
                2. Comparación de alternativas con vidas útiles diferentes.
                  1. El VP de las alternativas deberá compararse sobre el mismo número de años. La comparación del valor presente implica calcular el valor presente equivalente para flujos de efectivo futuros en cada alternativa.
                3. Cálculo de costo capitalizable (CC)
                  1. Valor presente de un proyecto útil se supone durará para siempre. Algunos proyectos de obras públicas tales como diques, sistemas de irrigación, etc.
                  Show full summary Hide full summary

                  Similar