4.5 Operadores de Mutação

Description

Apresenta os principais operadores de mutação para cada tipo de codificação.
Diego Garrido
Mind Map by Diego Garrido, updated more than 1 year ago
Diego Garrido
Created by Diego Garrido about 9 years ago
30
0

Resource summary

4.5 Operadores de Mutação
  1. Codificação
    1. Binária
      1. Mutação Pontual
        1. Cada posição da cadeia tem probabilidade {pm} de sofrer mutação
          1. Sugestões {pm}
            1. Iniciar com valor grande, decrescido geometricamente ao longo das gerações
              1. limite inferior pm=1/dim_espaço_busca, taxa ótima mutação
          2. Real
            1. Mutação Uniforme
              1. x' = x + M
                1. Sendo M, distribuição aleatória uniforme U(limite inferior,limite superior)^l
              2. Mutação Gaussiana
                1. M distribuição nomral ou gaussiana N(mi,sigma)^l
                2. Mutação Não-uniforme
                  1. Problemas de otimização com restrição
                    1. Operador dinâmico
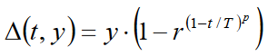
                      1. Cromossomo resultante
                          1. a e b, limites inferiores e superiores de {xk}
                              1. {t} pequeno - explora globalmente
                                1. {t} grande - explora locamente
                                  1. {r} número aleatório [0,1]
                                    1. parâmetro de dependência, geralmente {p=5}
                                      1. {T} nº máximo de gerações
                              2. Permutação
                                1. Mutação Inversa
                                    1. Pode se estender para {k} pontos; {k=3}
                                    2. Mutação Baseada em Ordem
                                      1. Duas posição são selecionadas e os genes trocados
                                      2. Mistura (Scramble)
                                        1. Reordena elementos aleatoriamente
                                      3. Máquinas de Estado Finito
                                        1. Mudar símbolo de saída
                                          1. Mudar uma transição de estado
                                            1. Adicionar um estado
                                              1. Deletar um estado
                                                1. Mudar o estado inicial
                                                2. Árvore
                                                  1. Troca de símbolos terminais
                                                    1. Troca de símbolos não terminais
                                                      1. Inclusão e exclusão de subramos
                                                    Show full summary Hide full summary

                                                    Similar

                                                    Neodarwinismo
                                                    João Victor
                                                    5 Algoritmos Genéticos
                                                    Diego Garrido
                                                    Redes neurais artificiais
                                                    Alceu Bernardino
                                                    4.8 Mecanismos de Seleção
                                                    Diego Garrido
                                                    4.6 Operadores de Recombinação
                                                    Diego Garrido
                                                    PONTO DE MUTAÇÃO
                                                    Adriano Alves
                                                    Diversidade Genética Humana
                                                    Gabriela Silva
                                                    alelos múltiplos
                                                    Leticia Magalhaes
                                                    Neodarwinismo
                                                    leonardo bakar
                                                    Neodarwinismo
                                                    midian soares