DERIVADAS IMPLICITAS

Description

F GSHYD
Sara Rodriguez
Mind Map by Sara Rodriguez, updated more than 1 year ago
Sara Rodriguez
Created by Sara Rodriguez about 9 years ago
198
0

Resource summary

DERIVADAS IMPLICITAS
  1. En los cursos de cálculo la mayor parte de las funciones con que trabajamos están expresadas en forma explícita, como en la ecuación
    1. dónde la variable y está escrita explícitamente como función de x. Sin embargo, muchas funciones, por el contrario, están implícitas en una ecuación. La función y = 1 / x, viene definida implícitamente por la ecuación: x y = 1.
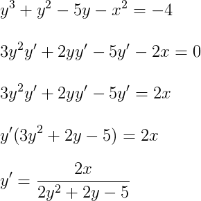
    2. El método de regla de la cadena para funciones implícitas
      1. Ya sabemos que cuando se derivan términos que solo contienen a x, la derivación será la habitual. Sin embargo, cuando tengamos que derivar un término donde aparezca la y, será necesario aplicar la regla de la cadena.
      Show full summary Hide full summary

      Similar

      Presentación de clase-ABP
      emily.quintero91