Espacios Vectoriales

Description

Que es y para que sirven los espacios vectoriales, sus funciones y la utilizaciones en ingenierias
edwar samboni
Mind Map by edwar samboni, updated more than 1 year ago
edwar samboni
Created by edwar samboni about 9 years ago
73
0

Resource summary

Espacios Vectoriales
  1. Annotations:

    • Imagen tomada de:  https://www.google.com.co/search?q=espacios+vectoriales&biw=1517&bih=735&source=lnms&tbm=isch&sa=X&sqi=2&ved=0ahUKEwiBpoKM-KTQAhUF6yYKHcTOBG0Q_AUIBygC&dpr=0.9#tbm=isch&q=que+son+espacios+vectoriales+en+algebra+lineal&imgrc=1trHIWge70aXoM%3A
    1. Annotations:

      • Imagen tomada: https://www.google.com.co/search?q=espacios+vectoriales&biw=1517&bih=735&source=lnms&tbm=isch&sa=X&sqi=2&ved=0ahUKEwiBpoKM-KTQAhUF6yYKHcTOBG0Q_AUIBygC&dpr=0.9#imgrc=-uHpNp-hHfqQjM%3A
      1. Annotations:

        • Imagen tomada de: https://www.google.com.co/search?q=espacios+vectoriales&biw=1517&bih=735&source=lnms&tbm=isch&sa=X&sqi=2&ved=0ahUKEwiBpoKM-KTQAhUF6yYKHcTOBG0Q_AUIBygC&dpr=0.9#tbm=isch&q=espacios+vectoriales+en+algebra+lineal+dados+los+elementos+x%2Cy%2Cz&imgdii=cDEy-rYScCuF8M%3A%3BcDEy-rYScCuF8M%3A%3BPhkCmjSsowuqJM%3A&imgrc=cDEy-rYScCuF8M%3A
        1. Ejemplo
          1. Annotations:

            • Imagen tomada de: https://www.google.com.co/search?q=espacios+vectoriales&biw=1517&bih=735&source=lnms&tbm=isch&sa=X&sqi=2&ved=0ahUKEwiBpoKM-KTQAhUF6yYKHcTOBG0Q_AUIBygC&dpr=0.9#tbm=isch&q=que+son+espacios+vectoriales&imgrc=4et4zXh7wnEiLM%3A
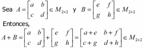
            1. Demuestre que las matrices de 2 x 2 con entradas en los números reales, son un espacio vectorial. Solución: Antes de iniciar debemos caracterizar como es un elemento cualquiera de este tipo (que podemos llamar M2x2
                1. Primero debemos ver que si tomamos dos elementos de M2x2 y los sumamos, el resultado es nuevamente un elemento de M2x2
                    1. Segundo: Debemos ver que si tomamos un elemento de M2x2 y lo multiplicamos por un escalar, el resultado sigue siendo un elemento M2x2
                        1. Entonces,
                            1. A las propiedades de suma y multiplicación se les acostumbra dominar como: Cerradura con respecto a la suma y con respecto a la multiplicación por escalar.
            Show full summary Hide full summary

            Similar

            Factorización de expresiones algebraicas_1
            Juan Beltran
            Factorización de expresiones algebraicas_2
            Juan Beltran
            Introducción al Álgebra
            Tulio Herrera
            FACTORIZACION DE POLINOMIOS
            Faber Garcia
            Sucesiones Aritméticas
            Elaine del Valle
            Aplicaciones de las derivadas
            Marta Arroyo
            EXAMEN DE MATEMÁTICAS 1ER GRADO SECUNDARIA 5to Bim
            FELIPE SOLTERO
            MAPA CONCEPTUAL CALCULO DIFERENCIAL
            luis aranda
            Métodos para Suma de Vectores
            Jorge Roldan
            Método científico
            Carlos Eduardo Solano González
            Ecuaciones Estadísticas
            Diego Santos