Estadística

Description

Este mapa mental explica la estadística
Nuha Rguez
Mind Map by Nuha Rguez, updated more than 1 year ago
Nuha Rguez
Created by Nuha Rguez about 9 years ago
41
0

Resource summary

Estadística
  1. Sirve para poner en practica una medida social o para saber la aceptacion de algo.
    1. Muestra
      1. Es un subconjunto de la poblacion que representa al total de la poblacin en estadistica.
      2. Poblacion
        1. Es un conjunto de individuos que conparten una o varias caracteristicas comunes.
      3. variables
        1. propiedades o carracteristicas que podemos estudiar.
          1. variable cualitativa
            1. Son los que se expresan numericamente.
              1. Discretos
                1. Solo toma valores enteros (1,2,3,4...)
                2. Continuo
                  1. Toman un valor de un intervalo (fuerza, velocidad media, altura y peso).
              2. variable cuantitativa
                1. Son los valores no numericos expresados con palabras.
            2. Recuento y graficos
              1. Frecuencia
                1. Absolutas
                  1. Es el numero de veces que aparese un dato y se representa F.
                  2. Relativas
                    1. Es el cosiente que da al dividir la frecuencia absoluta y el numero total de datos.
                  3. Graficos
                    1. Diagrama de sectores
                      1. Se usa normalmente para variables cualitativas. La amplitud de cada sector se obtiene multiplicando la frecuencia relativa por 360 .
                      2. Diagrama de barras
                        1. Se suele usar para variables discretas. Cada valor se coresponde con una barra de longitud proporcional a su frecuencia.
                        2. Histograma
                          1. Es usa cuando los datos estan agrupados por intervalos. los valores se representan con un rectangulo, en el cual la anchura es el intervalo y la altura su frecuencia.
                          2. Poligono de frecuencia
                            1. Se crea al unir por rectas las cumbres de las barras de los histogramas.
                          3. intervalos
                            1. Se usa cuando la catidad de datos es muy grande
                          4. Medidas de centralización y posición
                            1. Media
                              1. Se calcula sumando todos los datos y dividiendolos por el total de datos.
                              2. Moda
                                1. El valor mas repetido, puede aver un empate.
                                2. Mediana
                                  1. Se puedecalcular cuando la variable es cualtativa. Es el valor de la posicion cetral despues de haber ordenado los datos de mayor a menor,es decir el vallor menor que un 50% de los datos y menor que el otro 50%.
                                  2. Rango y desviacion media
                                    1. Rango
                                      1. Tambien llamado recorrido es la diferencia entre el mayor y el menor dato, indica la longitud del intervalo en el que se encuentrantodos los datos.
                                      2. Desviacion media
                                        1. Es la media de los valores absolutos de las diferencias entre la media y los diferentes datos .
                                      3. varianza y desviacion tipica
                                        1. Varianza
                                          1. Es la media de los cuadrados de las desviaciones
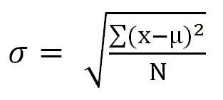
                                          2. Desviacion tipica
                                            1. Es la raiz cuadrada de la varianza.
                                          3. Coeficiente de variación
                                            1. Es el cociente entre la desviacion tipica y la media, se utiliza para comparar las dispersiones de datos de distinta media.
                                          4. calculadora
                                            1. link.
                                              1. https://www.youtube.com/watch?list=PL1A424227AC0C7E9B&v=bjVV7m5L2Wc
                                            2. Excel
                                              1. link. te ayudara a hacer graficos de sectores
                                                1. https://www.youtube.com/watch?v=CWgHuyrETFI
                                              Show full summary Hide full summary

                                              Similar

                                              Cuestionarios de Probabilidad y Estadistica
                                              Saddy Jair Aragon Pimentel
                                              GRAFICOS EN ESTADISTICAS
                                              Adriana Cortes Barbosa
                                              Inferencia, Estimación y Contraste de Hipotesis
                                              bruceepz
                                              MAPA MENTAL ESTADISTICA
                                              fidel451
                                              Tablas (1) del 0, 1, 2, 3, 4, 5, 6, 7, 8, 9 y 10
                                              Miguel Greciano
                                              Matemáticas- Álgebra
                                              dayana burguez
                                              Sucesiones Aritméticas
                                              Elaine del Valle
                                              Aplicaciones de las derivadas
                                              Marta Arroyo
                                              EXAMEN DE MATEMÁTICAS 1ER GRADO SECUNDARIA 5to Bim
                                              FELIPE SOLTERO
                                              Ecuaciones Estadísticas
                                              Diego Santos
                                              Matemáticasen la VidaCotidiana
                                              Diego Santos