null
US
Sign In
Sign Up for Free
Sign Up
We have detected that Javascript is not enabled in your browser. The dynamic nature of our site means that Javascript must be enabled to function properly. Please read our
terms and conditions
for more information.
Next up
Copy and Edit
You need to log in to complete this action!
Register for Free
7798555
FACTORIZACIÓN
Description
Noveno Matemáticas Mind Map on FACTORIZACIÓN, created by Gustavo Torres on 21/02/2017.
No tags specified
matemáticas
noveno
Mind Map by
Gustavo Torres
, updated more than 1 year ago
More
Less
Created by
Gustavo Torres
almost 9 years ago
1205
0
0
Resource summary
FACTORIZACIÓN
CASO I
FACTOR COMÚN MONOMIO
CASO II
FACTOR COMÚN POR AGRUPACIÓN DE TÉRMINOS
CASO III
TRINOMIO CUADRADO PERFECTO
CASO IV
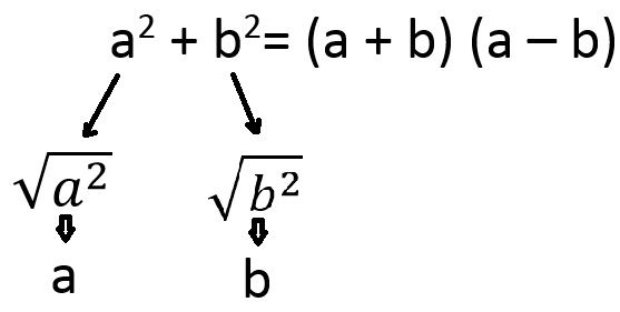
DIFERENCIA DE CUADRADOS PERFECTOS
CASO V
TRINOMIO CUADRADO PERFECTO POR ADICIÓN Y SUSTRACCIÓN
CASO VI
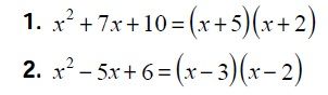
TRINOMIO DE LA FORMA x2 + bx + c
CASO VII
TRINOMIO DE LA FORMA ax2 +bx +c
CASO VIII
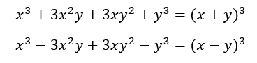
CUBO PERFECTO DE BINOMIOS
CASO IX
SUMA Y DIFERENCIA DE CUBOS PERFECTOS
CASO X
SUMA O DIFERENCIA DE DOS POTENCIAS IGUALES
Media attachments
5722208f-857d-49e9-ba3e-09f0b2903c46.JPG (image/JPG)
e19af9fb-6386-4da4-80a0-52b370931391 (image/jpg)
8a4bdf81-6f16-427e-ab79-09b899a24c78 (image/jpg)
721eac9f-13b2-4ba0-bb11-86cb722d2c08 (image/jpg)
3a5f5b67-ee49-458c-9185-85166f121971 (image/jpg)
3cbb25c9-d4ce-4db0-8301-ac2ef4f4895b (image/jpg)
a52add4c-f349-4c7b-9870-0cd7690fd418 (image/jpg)
874da28e-1480-4caf-b0c7-d5dcfb94d23d (image/png)
e1edbc28-4f23-4756-99e8-df225df987e5 (image/jpg)
16f1a7f9-9d36-4344-959a-36d3c61eb8a5 (image/jpg)
Show full summary
Hide full summary
Want to create your own
Mind Maps
for
free
with GoConqr?
Learn more
.
Similar
Factorización de expresiones algebraicas_1
Juan Beltran
Factorización de expresiones algebraicas_2
Juan Beltran
Factorización
Nancy Guzman
mapa conceptual factorizacion
YECID SANCHEZ
Factorización de Expresiones Algebráicas
maya velasquez
Ecuaciones (Primer Grado)
Diego Santos
Fórmulas Geométricas (Perímetros)
Diego Santos
7 Técnicas para Aprender Matemáticas
maya velasquez
Matemáticasen la VidaCotidiana
Diego Santos
FRACCIONES...
JL Cadenas
FRACCIONES...
Ulises Yo
Browse Library