Los elementos básicos y los fasores

Description

Mind Map on Los elementos básicos y los fasores, created by Daniela Toquica on 06/03/2017.
Daniela  Toquica
Mind Map by Daniela Toquica, updated more than 1 year ago
Daniela  Toquica
Created by Daniela Toquica almost 9 years ago
460
0

Resource summary

Los elementos básicos y los fasores
  1. Analisis de la respuesta de R,L y C a un voltaje o una corriente senoidal. La frecuencia puede afectar las caracteristicas de oposicion.
    1. Resistor
      1. El resistor no es afectado por la frecuencia del voltaje o corriente senoidal.
        1. Para un elemento puramente resistivo, el voltaje y la corriente se ecuentran en fase, los valores picos relacionados mediante Ohm.
          1. Potencia:
      2. Inductor
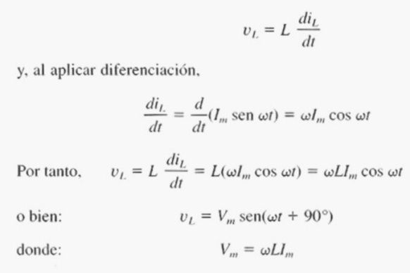
        1. El voltaje esta definido por la oposicion del elemento de flujo de corriente y esta relacionado directamente con la razon de cambio de I a traves de la bobina. F es directamente proporcional a V. Para un inductor VL adelanta a IL por 90° o viceversa.
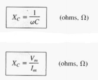
          1. Reactancia:
            1. XL=wL
              1. XL=Vm/Im
                1. Es la oposicion al flujo de corriente. No disipa energia electrica.
                  1. Potencia:
        2. Capacitor
          1. El Voltaje esta limitado por la razon a la que puede depositarse la carga o liberarse durante las fases de carga o descarga.
            1. V=Q/C
              1. A mayor Capacitancia mayor I capacitiva.
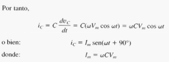
                1. La I esta directamente relacionada con la frecuencia o la velocidad angular.
                  1. La Ic puede sobrepasar a Vc por 90° o viceversa.
                    1. Potencia:
          2. Potencia promedio y factor de potencia
            1. Estará definida por:
              1. La magnitud de la potencia promedio entregada es independiente de si V se adelanta a I o viceversa.
                1. P=(Vefectivo x Iefectivo) x (cosA)
                  1. Factor de potencia:
                    1. Control importante sobre el nivel de potencia entregado en cosA
                      1. Cuando CosA=0 Entonces P=0 y cuando CosA=1 Entonces P=máximo
          Show full summary Hide full summary

          Similar