null
US
Sign In
Sign Up for Free
Sign Up
We have detected that Javascript is not enabled in your browser. The dynamic nature of our site means that Javascript must be enabled to function properly. Please read our
terms and conditions
for more information.
Next up
Copy and Edit
You need to log in to complete this action!
Register for Free
8756332
Trabalho
Description
Trabalho
No tags specified
trabalho
física
enem
Mind Map by
Erika Salomao
, updated more than 1 year ago
More
Less
Created by
Erika Salomao
over 8 years ago
18
0
0
Resource summary
Trabalho
Trabalho da força peso
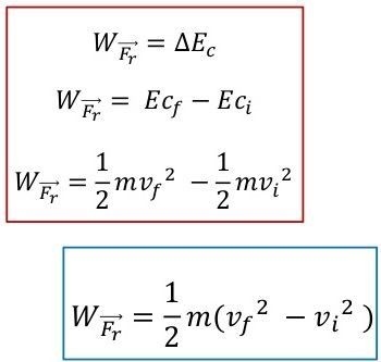
Teorema da energia cinética
W = F.d
Media attachments
Trabex1 (image/png)
Impulso E Trabalho De Uma Forca Em Fisica (image/jpeg)
53ac768ddb08c1b540eb05f759e4f518 (image/jpeg)
Trab8 (image/jpeg)
10ano Unidade 2 Fisica Para 11ano Reviso 48 638 (image/jpeg)
7 Energia Sistemas Em Movimento 5 638 (image/jpeg)
Show full summary
Hide full summary
Want to create your own
Mind Maps
for
free
with GoConqr?
Learn more
.
Similar
Leis de Newton.
GoConqr suporte .
Cinemática Escalar: Conceitos fundamentais
Bruno Fernandes3682
Fórmulas de física
Alessandra S.
Física moderna
GoConqr suporte .
Plano de estudos ENEM - Parte 2 *Exatas/Biológicas
GoConqr suporte .
ÁTOMO
Hugo Fonseca
Oscilações, ondas, óptica e radiação
Sem Parar
Simulado de física
Alessandra S.
Ondulatória
Leatrice Barros
Simulado ENEM - Ciências da Natureza
Nathalia - GoConqr
Física - Sobre Ondas
Helen Manzur
Browse Library