Ondas II

Description

Ondas II
Erika Salomao
Mind Map by Erika Salomao, updated more than 1 year ago
Erika Salomao
Created by Erika Salomao almost 9 years ago
90
0

Resource summary

Ondas II
    1. Elementos de uma onda:
      1. Crista
        1. Vale
          1. Comprimento (λ)
            1. É duas cristas seguidas ou dois vales seguidos
            2. Amplitude (A)
              1. É o valor máximo de afastamento em relação ao equilíbrio
              2. Frequência (f)
                1. É o n° de ondas num determinado tempo
                2. Período (T)
                  1. Tempo necessário para que o λ seja criado
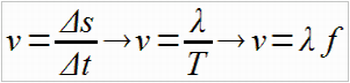
                3. Equação fundamental
                  1. Relação Período(T) e Frequência (f)
                    Show full summary Hide full summary

                    Similar

                    Leis de Newton.
                    GoConqr suporte .
                    Oscilações, ondas, óptica e radiação
                    Sem Parar
                    Cinemática Escalar: Conceitos fundamentais
                    Bruno Fernandes3682
                    Fórmulas de física
                    Alessandra S.
                    Física moderna
                    GoConqr suporte .
                    Plano de estudos ENEM - Parte 2 *Exatas/Biológicas
                    GoConqr suporte .
                    ÁTOMO
                    Hugo Fonseca
                    Simulado de física
                    Alessandra S.
                    Ondulatória
                    Leatrice Barros
                    Simulado ENEM - Ciências da Natureza
                    Nathalia - GoConqr
                    Física - Sobre Ondas
                    Helen Manzur