null
US
Sign In
Sign Up for Free
Sign Up
We have detected that Javascript is not enabled in your browser. The dynamic nature of our site means that Javascript must be enabled to function properly. Please read our
terms and conditions
for more information.
Next up
Copy and Edit
You need to log in to complete this action!
Register for Free
8935274
Força Elétrica
Description
Enem Física (Força Elétrica) Mind Map on Força Elétrica, created by Israel Rienzo on 15/05/2017.
No tags specified
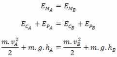
energia mecânica
trabalho
campo elétrico
potencial elétrico
física
força elétrica
enem
Mind Map by
Israel Rienzo
, updated more than 1 year ago
More
Less
Created by
Israel Rienzo
almost 9 years ago
49
0
0
Resource summary
Força Elétrica
o Trabalho é conservativo
não depende da trajetória
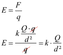
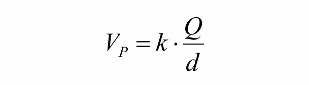
potencial elétrico
devido a uma carga fixa
devido a várias cargas
Energia Mecânica
campo elétrico
Media attachments
Varias Cargas (image/png)
Trabalho (image/jpeg)
Carga Fixa (image/png)
Campo1 (image/gif)
Pcem4 (image/jpeg)
Show full summary
Hide full summary
Want to create your own
Mind Maps
for
free
with GoConqr?
Learn more
.
Similar
Leis de Newton.
GoConqr suporte .
Cinemática Escalar: Conceitos fundamentais
Bruno Fernandes3682
Fórmulas de física
Alessandra S.
Física moderna
GoConqr suporte .
Plano de estudos ENEM - Parte 2 *Exatas/Biológicas
GoConqr suporte .
ÁTOMO
Hugo Fonseca
Oscilações, ondas, óptica e radiação
Sem Parar
Simulado de física
Alessandra S.
Ondulatória
Leatrice Barros
Simulado ENEM - Ciências da Natureza
Nathalia - GoConqr
Física - Sobre Ondas
Helen Manzur
Browse Library