null
US
Sign In
Sign Up for Free
Sign Up
We have detected that Javascript is not enabled in your browser. The dynamic nature of our site means that Javascript must be enabled to function properly. Please read our
terms and conditions
for more information.
Next up
Copy and Edit
You need to log in to complete this action!
Register for Free
1265942
Material Revolution
Description
Mind Map on Material Revolution, created by sophie.j.teer on 10/09/2014.
Mind Map by
sophie.j.teer
, updated more than 1 year ago
More
Less
Created by
sophie.j.teer
over 11 years ago
49
1
0
Resource summary
Material Revolution
Amines
In Primary amines the nitrogen atom is bonded to one alkyl group.
Methylamine
In Secondary amines the nitrogen atom is bonded to two alkyl groups.
Dimethylamine
In Tertiary amines the nitrogen atom is bonded to three alkyl groups.
Trimethylamine
Amides
Primary amides are the same as amines except they have a different structure.
Acetamide
Secondary amide
Ethyl Ethanamide
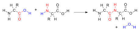
Polyamides are synthetic polymer chains. They are made by condensing diamines and dicarboxylic acids.
Amide Link
Condensation Polymerisation is when two molecules join together and the byproduct is either Water or Hydrogen Chloride
Media attachments
imagesCAEDHYSA (image/jpg)
imagesCADZE3NZ (image/jpg)
imagesCA37YIB9 (image/jpg)
imagesCAQA5ZID (image/jpg)
imagesCAW3DYTX (image/jpg)
imagesCACAW6YA (image/jpg)
amide (image/jpg)
images (image/jpg)
Show full summary
Hide full summary
Want to create your own
Mind Maps
for
free
with GoConqr?
Learn more
.
Similar
Browse Library